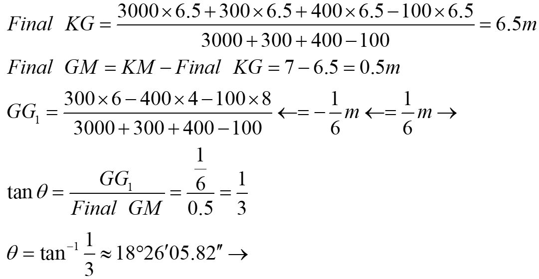
2. 某港內船舶平正地漂浮於海水中,排水量3000噸,KM=7公尺,KG=6.5公尺,若裝卸載下列貨物後,求船舶最後橫傾角度?【裝載300噸,KG=6.5公尺,其重心在中心線左邊6公尺;裝載 400噸,KG=6.5公尺,其重心在中心線右邊4公尺;卸載100噸,KG=6.5公尺,其重心在中心線左邊8公尺。】
(A) 15.4°(向左橫傾)
(B) 15.4°(向右橫傾)
(C) 18.4°(向左橫傾)
(D) 18.4°(向右橫傾)
答案:登入後查看
統計: A(29), B(87), C(87), D(312), E(0) #3136229
統計: A(29), B(87), C(87), D(312), E(0) #3136229
詳解 (共 4 筆)
#6191014

10
0
#6042032

8
1
#7305785

0
0