阿摩線上測驗
登入
首頁
>
壽險數學
>
115年 - 115 中華民國人壽保險管理學會_春季壽險管理人員暨核保理賠人員測驗:壽險數學#138306
> 試題詳解
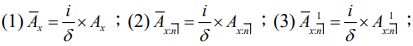
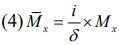
9. 以下正確有幾項?
。
(A) 一項
(B) 兩項
(C) 三項
(D) 四項
答案:
登入後查看
統計:
尚無統計資料
相關試題
1. 甲銀行提供三種投資方案:(1)年利率 i = 4%;(2)年虛利率 i⁽²⁾ = 4%;(3)貼現率 d = 4%。請問哪一種方案的投資報酬率最高? (A) 三種都一樣 (B) 年利率 i = 4% 的報酬率最高 (C) 年虛利率 i⁽²⁾ = 4% 的報酬率最高 (D) 貼現率 d = 4% 的報酬率最高
#3851010
2. 下列敘述何者錯誤? (A) 長期投資與財務分析多採用複利法 (B) 複利法本利和永遠大於單利法本利和 (C) 複利係指利息自動累加入本金一起投資的計息方式 (D) 折現因子 v 等於 (1+i)⁻¹
#3851011
3. 下列曲線有幾條為遞減曲線:(1)生存數 lₓ;(2)死亡率 qₓ;(3)死亡數 dₓ。 (A) 零條 (B) 一條 (C) 兩條 (D) 三條
#3851012
4. eₓ 之計算概念為假設死亡者都在何時死亡? (A) 年初 (B) 年中 (C) 年底 (D) 均勻分布在每一個時點
#3851013
5. 根據檢選效力消失以後之經驗資料而編成的生命表稱為? (A) 普通生命表 (B) 混合表 (C) 終極表 (D) 檢選表
#3851014
6. 下列哪一個式子不能用來計算 ₙEₓ? (A) (1+i)⁻ⁿ × ₙpₓ (B)(C)(D)
#3851015
7.= ? (A)(B)(C)(D)
#3851016
8. 已知 i > 0,且死亡率隨年齡增加而上升,試比較大小:。 (A) (B)(C)(D)
#3851017
10. 事故保費屬於? (A) 收費費用 (B) 維持費用 (C) 新契約費用 (D) 純保費
#3851019
11. 在保險費繳費期間內,每年負擔同額保險費,稱為? (A) 平準保費 (B) 超額保費 (C) 自然保費 (D) 以上皆非
#3851020
相關試卷
115年 - 115 中華民國人壽保險管理學會_春季壽險管理人員暨核保理賠人員測驗:壽險數學#138306
2026 年 · #138306
114年 - 114 中華民國人壽保險管理學會_秋季壽險管理人員暨核保理賠人員測驗:壽險數學#131626
2025 年 · #131626
114年 - 114 中華民國人壽保險管理學會_春季壽險管理人員暨核保理賠人員測驗:壽險數學#126987
2025 年 · #126987
113年 - 113 中華民國人壽保險管理學會_秋季壽險管理人員暨核保理賠人員測驗:壽險數學#125273
2024 年 · #125273
113年 - 113 中華民國人壽保險管理學會_春季壽險管理人員暨核保理賠人員測驗:壽險數學#119280
2024 年 · #119280
112年 - 112 中華民國人壽保險管理學會_秋季壽險管理人員暨核保理賠人員測驗:壽險數學#116785
2023 年 · #116785
112年 - 112 中華民國人壽保險管理學會_春季壽險管理人員暨核保理賠人員測驗:壽險數學#116660
2023 年 · #116660
111年 - 111 中華民國人壽保險管理學會_秋季壽險管理人員暨核保理賠人員測驗:壽險數學#110936
2022 年 · #110936
111年 - 111 中華民國人壽保險管理學會_春季壽險管理人員暨核保理賠人員測驗:壽險數學#107043
2022 年 · #107043
110年 - 110 春 中華民國人壽保險:壽險數學#97638
2021 年 · #97638