阿摩線上測驗
登入
首頁
> 【已刪除】101年 - 101年第一次高考醫事人員藥理學與藥物化學更正#47072
【已刪除】101年 - 101年第一次高考醫事人員藥理學與藥物化學更正#47072
|
年份:
101年 |
選擇題數:
80 |
申論題數:
0
試卷資訊
選擇題 (80)
【已刪除】 1 Acetaminophen 過量而產生對肝細胞的毒性,是由於下列何者所造成的? (A)藥物本身的分子 (B)藥物與 glucuronide 結合之代謝產物 (C)藥物與 sulfate 結合之代謝產物 (D)藥物氧化之中間產物
【已刪除】
複選題
2 下列何藥物因為首渡效應(first-pass effect)高,而不適於口服用藥? (A) Morphine (B) Atropine (C) Propranolol (D) Benazepril
【已刪除】 3 下列有關藥物排泄之敘述,何者錯誤? (A)腎小管細胞上之 p-glycoprotein 較選擇性將有機陽離子藥物或其代謝物分泌至尿中 (B)非解離型之弱酸藥物在近端腎小管(proximal tubule)會進行被動性再吸收回血液 (C)肝細胞上之多藥抗藥性相關蛋白第二型(MRP2)主要將藥物之 glucuronide 代謝物分泌至膽汁中 (D)藥物之 glucuronide 代謝物於腸內被腸內細菌水解成原藥物可能會被再吸收
【已刪除】 4 下列何者是 β-Lactamase inhibitor,和 penicillins 類藥物之併用可以防止其被分解,而增加藥效? (A) Clavulanic acid (B) Repaglinide (C) Mefenamic acid (D) Sulindac
【已刪除】 5 不同藥廠出產的同成分、同劑量、同類型的藥物,欲知其是否有相同藥效,應比較下列何種指標? (A)半衰期(half life) (B)分布體積(Vd) (C)生體可用率(bioavailability) (D)排除速率常數(K
el
)
【已刪除】 6 下列何種藥物用於治療 Clostridium difficile 引起的結腸炎? (A) Amphotericin B (B) Clindamycin (C) Vancomycin (D) Rifampin
【已刪除】 7 Sulfasalazine 臨床上廣泛用於治療: (A)急性毒漿體原蟲病(acute toxoplasmosis) (B)瘧疾 (C)潰瘍性結腸炎 (D)發燒
【已刪除】 8 下列何種藥物之作用機轉不是抑制 Topoisomerase II,導致 DNA 股斷裂(brand breakage)的? (A) Etoposide (B) Docetaxel (C) Moxifloxacin (D) Doxorubicin
【已刪除】 9 下列何種抗生素最容易引起低前凝血素血症(hypoprothrombinemia)? (A) Cefoperazone (B) Amikacin (C) Vancomycin (D) Tetracycline
【已刪除】10 下列何者是 Niacin 之主要作用機轉? (A)抑制膽固醇之合成 (B)抑制脂肪細胞內三酸甘油脂之分解 (C)促進高密度脂蛋白之合成 (D)促進膽酸之排除
【已刪除】11 Cerivastatin 與下列何藥合用,產生橫紋肌溶解之危險性最高? (A) colestipol (B) ezetimibe (C) gemfibrozil (D) niacin
【已刪除】12 Oprelvekin 用於治療: (A)再生不良性貧血 (B)嗜中性白血球減少症 (C)血小板減少症 (D)血紅素缺乏
【已刪除】13 下列何者是目前用在預防新生兒(特別是早產兒)因維生素 K 缺乏引起的出血疾病? (A)Vitamin K
1
(B)Vitamin K
2
(C)Vitamin K
3
(D)Vitamin K
4
【已刪除】14 棉子油酚(Gossypol)有下列何種作用? (A)降血糖 (B)降血壓 (C)消毒 (D)男性避孕
【已刪除】15 Finasteride 之用途為何? (A)抗男性攝護腺增生 (B)抗不孕症 (C)抗糖尿病 (D)抗消化性潰瘍
【已刪除】16 下列何者為 sulfonylurea 之作用機轉? (A)抑制 Glucose 由腸胃吸收 (B)促進 Insulin 釋放 (C)促進組織分解 glucose (D)使 glucose 轉變為乳糖
【已刪除】17 Glargine 之用途為: (A)抗潰瘍 (B)抗高血壓 (C)抗糖尿病 (D)抗心率不整
【已刪除】18 那一種藥物具選擇性β1-adrenergic receptor阻斷作用,且最易受紅血球之脂酵素(esterase)分解? (A) Atenolol (B) Esmolol (C) Betaxolol (D) Carteolol
【已刪除】19 那一種利尿劑對肝硬化(hepatic cirrhosis)是最佳選擇? (A) Hydrochlorothiazide (B) Amiloride (C) Furosemide (D) Spironolactone
【已刪除】20 下列那一種藥物最適合以注射方式抑制因 renin 過度釋放所引起之急性高血壓? (A) Benazepril (B) Fosinopril (C) Enalaprilat (D) Prazosin
【已刪除】21 有一心絞痛病人在服用硝基化合物時,若與下列那一種藥物併用最會增強硝基化合物而增加 c-GMP 之效果? (A) Sildenafil (B) Atenolol (C) Losartan (D) Captopril
【已刪除】22 那一種利尿劑投與時會使血中之氨(ammonia)濃度增加,因此易使肝硬化病人引起肝性腦昏迷 (Hepatic encephalopathy)? (A) Mannitol (B) Acetazolamide (C) Isosorbide (D) Spironolactone
【已刪除】23 那一種利尿劑同時用在急性高山症(Acute mountain sickness)病人? (A) Ethacrynic acid (B) Dichlorphenamide (C) Amiloride (D) Triamterene
【已刪除】24 有一曾患有心肌梗塞之心臟病人,若要長期治療以減少病人心室心律不整,增加存活率,則下列那 一種藥物是最正確的選擇? (A) Flecainide (B) Lidocaine (C) Amiodarone (D) Quinidine
【已刪除】25 下列何者不是神經節阻斷劑(ganglion-blocking agent)之副作用? (A)直立性低血壓(orthostatic hypotension) (B)尿液滯留(urinary retention) (C)縮瞳(miosis) (D)便祕(constipation)
【已刪除】26 下列何種擬交感神經作用劑(sympathomimetics)可用於治療注意力不能集中之過動症狀(attention- deficit hyperactivity disorder)? (A) Metaproterenol (B) Methylphenidate (C) Methyldopa (D) Phenylephrine
【已刪除】27 下列何種擬交感神經作用劑(sympathomimetics)常用於處理休克(shock)症狀之病人? (A) Terbutaline (B) Dopamine (C) Methoxamine (D) Methyldopa
【已刪除】28 下列有關 Ondansetron 之敘述,何項錯誤? (A)是一血清素 5-HT3受器拮抗劑 (B)用於治療癌症化學療法引致之嘔吐 (C)用於預防全身輻射療法引致之嘔吐 (D)用於預防暈車引致之嘔吐
【已刪除】29 Tegaserod 在臨床上可用於緩解 irritable bowel syndrome,其主要是作用在那一個受體上? (A)Muscarinic M1受體 (B)Histamine H2受體 (C)Dopamine D2受體 (D)Serotonin 5-HT4受體
【已刪除】30 下列有關 Aspirin 的敘述何者錯誤? (A)其解熱的作用是經由抑制中樞 COX 及 interleukin-1 的結果 (B)鹼性尿可以增加其游離水楊酸 (C)長期服用之患者開刀前不必停藥,但應減低麻醉劑的用量 (D)本品具有抗炎作用
【已刪除】31 下列何種藥物臨床上用於治療偏頭痛(migraine)? (A) Diphenylhydantoin (B) Sumatriptan (C) Bradykinin (D) Cyproheptadine
【已刪除】32 下列有關三環類治療憂鬱症藥物的敘述,何者錯誤? (A)三環類治療憂鬱症藥物大多具有高度的首渡效應(First pass effect) (B)大部分的三環類治療憂鬱症藥物都具有阻斷多巴胺(Dopamine)再回收的作用 (C)使用三環類治療憂鬱症藥物會發生直立性低血壓(Orthostatic hypotension)的副作用 (D)三環類治療憂鬱症藥物通常也可以用來改善小孩半夜遺尿(Enuresis)的現象
【已刪除】33 下列那一種鹽類具有治療躁鬱症(Bipolar affective disorder)的藥理作用? (A) Calcium phosphate (B) Magnesium chloride (C) Lithium carbonate (D) Sodium chloride
【已刪除】34 下列有關組織胺的敘述,何者錯誤? (A)存在嗜伊紅性細胞內 (B)結合型的組織胺不具生物活性 (C)肥大細胞受刺激時可釋放出組織胺 (D)存在胃底之腸嗜鉻樣細胞(enterochromaffin-like cell) 代號:1103 頁次:6-3
【已刪除】35 下列何者並非動情素(estrogen)對脂質代謝之影響? (A)降低血中三酸甘油脂 (B)降低血中總膽固醇量 (C)降低血中低密度脂蛋白 (D)增加血中高密度脂蛋白
【已刪除】36 下列有關鎮靜-安眠(sedative-hypnotic)藥物作用之敘述,何者有誤? (A) Benzodiazepines 類藥物較 Barbiturates 類藥物不易引起呼吸抑制的副作用 (B)長效型藥物在停藥後所產生的禁斷現象(withdrawal symptoms)通常較短效型藥物嚴重 (C)Barbiturates類藥物會直接打開GABAA受體氯離子管道,但Benzodiazepines類藥物則否 (D)鎮靜-安眠藥物與酒精會產生交互依賴性(cross-dependence)的現象
【已刪除】37 下列何種藥物會引起橘紅色的尿液? (A) Cyclophosphamide (B) Hydroxyurea (C) Daunorubicin (D) Mitomycin
【已刪除】38 下列有關亨庭頓手足舞蹈症(Huntington’s disease)的敘述,何者錯誤? (A)是一種遺傳性的退化性中樞疾病 (B)係基底神經核中多巴胺、乙醯膽鹼及 GABA 三種神經傳遞物質的不平衡所產生的中樞疾病 (C)抑制多巴胺神經傳遞系統的藥物可以緩解亨庭頓手足舞蹈症的臨床病症 (D) Tetrabenazine 的主要作用係透過直接阻斷 GABA 抑制性的神經傳遞作用,進而產生緩解亨庭頓手 足舞蹈症的臨床病症作用
【已刪除】39 Flumazenil 可拮抗下列何者的作用? (A) Barbiturates (B) Meprobamate (C) Zolpidem (D) Ethanol
【已刪除】40 下列那一種病毒適合用來將基因送入中樞神經系統,以治療中樞神經系統之基因缺損? (A) Adenovirus (B) Retrovirus (C) Adeno-Associated Virus (D) Herpesvirus
【已刪除】41 當一藥物與其受體結合而產生藥效,其劑量與藥效通常呈現何種關係: (A)
(B)
(C)
(D)
【已刪除】42 下列有關醇的敘述何者錯誤? (A)低碳醇易溶於水 (B)帶有電荷 (C)氫鍵提供者 (D)氫鍵接受者
【已刪除】43 蛋白質在含有下列那種胺基酸時,在鹼性環境下易發生 β-elimination 反應? (A) Methionine (B) Tyrosine (C) Threonine (D) Histidine
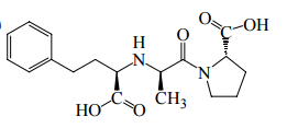
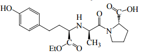
【已刪除】44 下列化合物中,何者為 enalapril 的活性代謝產物? (A)
(B)
(C)
(D)
【已刪除】45 Aminophylline 是茶鹼和下列那個化合物所形成的複合物? (A)(OCH
2
-NH
2
)
2
(B)H
2
N-CH
2
OH (C)N(CH
2
OH)
3
(D)(CH
2
-NH
2
)
2
【已刪除】46 在 Norepinephrine 之 α 碳上,具有 ethyl group 取代的化合物所呈現之作用,以下何者最正確? (A)α agonist (B)β agonist (C)α>β (D)β>α
【已刪除】47 下列骨骼肌鬆弛劑中,何者具有 tetrahydroisoquinoline 之基本架構? (A) Atracurium besylate (B) Gallamine triethiodide (C) Pipecuronium bromide (D) Vecuronium bromide
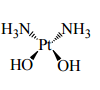
【已刪除】48 關於 epinephrine 之性質,下列敘述何者正確? (A)在鹼性溶液中較為安定 (B)製劑常加入 sodium sulfate 作為抗氧化劑 (C)其 bitartrate 鹽較適於眼科用藥 (D)口服吸收良好
【已刪除】49 下列有關 zolpidem 的敘述何者錯誤? (A)具有benzodiazepine結構 (B)作用於GABAA受體 (C)屬短效型藥物 (D)作為安眠藥物
【已刪除】50 Esomeprazole 於體內轉化為活性代謝物後作用於: (A)Gastrin receptor (B)Histamine H2 receptor (C)H
+
/K
+
-ATPase (D)Muscarinic receptor
【已刪除】51 下列 benzodiazepines 中,何者較適用於肝功能不良的病人? (A) diazepam (B) fludiazepam (C) nimetazepam (D) oxazepam
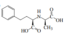
【已刪除】52 下列有關 fluphenazine decanoate 的敘述何者錯誤? (A)為 prodrug (B)可口服給藥 (C)為長效之抗精神病藥物 (D)適用於依從性(compliance)不佳的病患
【已刪除】53 下圖中的化合物抗精神病活性最強時,n 等於多少?
(A)1 (B)2 (C)3 (D)4
【已刪除】54 下列何者並非抗癲癇藥物? (A) Amobarbital (B) Mephobarbital (C) Phenobarbital (D) Primidone
【已刪除】55 將嗎啡結構的 C6 二級醇( C6-OH)官能基,氧化成酮( C6-ketone)基,則其止痛活性( analgesic activity)會如何變化? (A)上升 (B)下降 (C)不變 (D)消失
【已刪除】56 此結構化合物,在臨床上主要用做何種用途?
(A)止痛 (B)鎮靜 (C)鎮咳 (D)止瀉
【已刪除】57 下列藥物進行何種活化反應後,方具有降壓作用?
(A)C-2 NH
2
轉變為C-2 NHCOCH
3
(B)C-3 N→O轉變為C-3 N-O-sulfate (C) C-1 N 轉變為 C-1 N→O (D) C-3 N→O 轉變為 C-3 N-O-glucuronide
【已刪除】58 Lovastatin 之降血脂作用來自何種機制? (A)結構中 4 級銨離子交換樹脂的作用 (B)結構中 lactone 水解成 dihydroxy acid 而抑制 HMG CoA reductase (C)促進膽酸(bile acid)排泄 (D)刺激 lipoprotein lipase 的活性
【已刪除】59 下列利尿劑中,何者之結構特徵與葉酸(folic acid)相似? (A) Triamterene (B) Amiloride (C) Bumetanide (D) Furosemide
【已刪除】60 下列何種藥物不具有 tetrazole 環? (A) Valsartan (B) Telmisartan (C) Candesartan (D) Irbesartan
【已刪除】61 Molsidomine 為新穎治療心絞痛藥物,試問其化學結構屬於: (A) anionic compound (B) cationic compound (C) mesionic compound (D) non-ionic compound
【已刪除】62 下列何種藥物屬於 phosphorus-containing ACE inhibitor? (A) Benazepril (B) Fosinopril (C) Ramipril (D) Trandolapril
【已刪除】63 人體內膽固醇(cholesterol)之側鏈,經desmolase(P450
scc
)於下列那一位置經氧化代謝後,可斷鍵 轉變為pregnenolone? (A) C-17 及 C-20 間 (B) C-20 及 C-22 間 (C) C-24 及 C-25 間 (D) C-25 及 C-26 間
【已刪除】64 Tamoxifen 之何種同分異構物(isomer)具有拮抗雌性素(antiestrogen)的作用? (A) E-Isomer (B) Z-Isomer (C) R-Isomer (D) S-Isomer
【已刪除】65 Glucagon 是由幾個胺基酸構成之 polypeptide? (A) 29 (B) 30 (C) 51 (D) 52
【已刪除】66 下列何者為 tolazamide 在體內之主要代謝產物? (A) 2’-Hydroxytolazamide (B) 3’-Hydroxytolazamide (C) 4’-Hydroxytolazamide (D) 5’-Hydroxytolazamide
【已刪除】67 下列有關 insulin aspart 的敘述,何者錯誤? (A)由 insulin 的 B28 之 Pro 修飾成 Asp 而得 (B)呈安定之雙體(dimer)結構 (C)屬速效製劑 (D)以皮下注射給藥
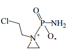
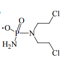
【已刪除】68 Cyclophosphamide 活化過程中,產生下列何者會引生膀胱或腎毒性? (A)
(B)
(C)
(D)
【已刪除】69 下列何種荷爾蒙不具有雙硫鍵(disulfide bond)結構? (A) Calcitonin (B) Vasopressin (C) Somatostatin (D) Glucagon
【已刪除】70 下列各項抗組織胺藥與其結構歸屬之配對中,何者正確? (A) Bromodiphenhydramine-piperazines (B) Tripelennamine-ethylenediamines (C) Buclizine-phenothiazines (D) Cyproheptadine-propylamines
【已刪除】71
,X 為下列何者? (A) Ranitidine (B) Nizatidine (C) Famotidine (D) Cimetidine
【已刪除】72 下列有關 acetaminophen 之敘述,何項錯誤? (A)在成人之主要代謝物為 O-sulfate,在小孩則以 O-glucuronide 為主 (B) N-Acetylimidoquinone 為引生肝壞死或腎衰竭之活性代謝物 (C) N-Acetylcysteine 為服用 acetaminophen 過量時之解毒劑 (D)可由 p-aminophenol 經乙醯化(acetylation)獲得
【已刪除】73 下列何者具有
之結構? (A) Promethazine (B) Pyrrobutamine (C) Phenindamine (D) Chlorcyclizine
【已刪除】74 在四環素中,下列那一個位置上的 OH group 與抗菌活性無關? (A)3 (B)5 (C)6 (D) 12a
【已刪除】75 下列有關 acyclovir 之敘述,何者正確? (A)代謝產物 9-carboxymethoxymethylguanine 仍具活性 (B)本品做成 L-valyl 酯的鹽酸鹽口服後,生體可用率比 acyclovir 低 (C)化學結構屬於 cyclic deoxyguanosine (D)為 valacyclovir 之水解產物
【已刪除】76 下列何種抗病毒藥之結構中帶有硫(sulfur)原子? (A) Lamivudine (B) Stavudine (C) Zalcitabine (D) Didanosine
【已刪除】77 抗癌藥 teniposide 具有下列何種雜環結構? (A) Furan (B) Thiophene (C) Pyrrole (D) Oxazole
【已刪除】78 Doxorubicin 的抗癌活性,主要是下列何種產物的作用? (A) Ferrous ion (B) Hydrogen peroxide (C) Hydroxy radical (D) Hydroquinone
【已刪除】79 下列何者為 cisplatin 的活性態結構之一? (A)
(B)
(C)
(D)
【已刪除】80 Cyclophosphamide 進入體內,在 pH 7.4 下,主要產生何物而烷化 DNA? (A)
(B)
(C)
(D)
申論題 (0)