阿摩線上測驗
登入
首頁
>
物理化學(包括化工熱力學)
> 【已刪除】102年 - 102 專利商標審查特種考試_三等_一般化工:物理化學(包括化工熱力學)#26055
【已刪除】102年 - 102 專利商標審查特種考試_三等_一般化工:物理化學(包括化工熱力學)#26055
科目:
物理化學(包括化工熱力學) |
年份:
102年 |
選擇題數:
0 |
申論題數:
8
試卷資訊
所屬科目:
物理化學(包括化工熱力學)
選擇題 (0)
申論題 (8)
【已刪除】⑴請估算出口之水蒸氣溫度。
【已刪除】⑵請計算水蒸氣前後之 ΔS (entropy)及ΔA(Helmholtz free energy)的變化。(20 分)
【已刪除】⑴在 298.15 K 及 1.0 bar 下,計算此反應之
,氣相可視為 理想氣體(ideal gas)。(15 分)
【已刪除】⑵計算在 298.15 K 下之反應平衡常數 Kp。(5 分) 成分之熱力學性質(298.15 K, 1 bar)如下:
【已刪除】三、一雙成分系統之氣液平衡可用
P 來表示,其中 P
i
vap
為成分之蒸氣壓, γ
i
為成分之活性係數,並可以 van Laar equation 來表示,參數α =1.20 及 β =0.95。 在 55℃及溶液中(單相)成分 1 的莫耳分率為 0.75 時,請估算溶液的始沸點壓力 (bubble point pressure)及氣相中的成分組成。(20 分) 相關方程式:
【已刪除】⑴對此反應系統,請列出一組之獨立反應化學式 (a set of independent chemical reactions)。
【已刪除】⑵根據吉勃士相定律(Gibbs phase rule), 本系統之自由度(degree of freedom)為何?(20 分)
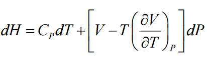
【已刪除】五、從關係式
中,推導出
以T, P, V 來表示。(20 分)