阿摩線上測驗
登入
首頁
>
工程數學(應用數學, 線性代數、微分方程、複變函數與機率)
> 【已刪除】103年 - 103 專技高考_電機工程技師:工程數學(包括線性代數、微分方程、複變函數與機率)#25299
【已刪除】103年 - 103 專技高考_電機工程技師:工程數學(包括線性代數、微分方程、複變函數與機率)#25299
科目:
工程數學(應用數學, 線性代數、微分方程、複變函數與機率) |
年份:
103年 |
選擇題數:
0 |
申論題數:
10
試卷資訊
所屬科目:
工程數學(應用數學, 線性代數、微分方程、複變函數與機率)
選擇題 (0)
申論題 (10)
【已刪除】一、考慮一個三階微分方程式 y ′′′ + Ay ′′ + By ′ + Cy = 0,其中 A、B、C 都是實數。已知 y1(x)=e
-2x
sin3x 和 y2(x)=e
-3x
都是這個微分方程式的解。求 y ′′′ + Ay ′′ + By ′ + Cy =1 的通解。(20 分)
【已刪除】⑴ X
2
的期望值(Expected Value)E [ X
2
]
【已刪除】⑵ E[ X
5
]
【已刪除】⑶E[Y]
【已刪除】⑷ E[Y
2
]
【已刪除】⑴找出 f (z)在複數平面可以微分的區域。(10 分)
【已刪除】⑵求
。(10 分)
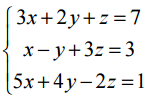
【已刪除】四、以矩陣方式,解右列聯立方程式
。(10 分)
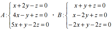
【已刪除】五、考慮二個聯立方程式
。那一個聯立方程式有不全為 0 的解?也就是至少會有一個解
?請適當說明。(10 分)
【已刪除】六、求逆時針方向的線積分
C
(x- 3y)dx+ (4x +y)dy ,其中C路徑是一個四個頂點分別 是(−2,0),(3,0),(3,2),(−2,2)的長方形的邊界(Boundary)。(20 分)