阿摩線上測驗
登入
首頁
> 【已刪除】105年 - 藥理學與藥物化學105 年 - 105-1-藥師(一)-藥理學與藥物化學#43579
【已刪除】105年 - 藥理學與藥物化學105 年 - 105-1-藥師(一)-藥理學與藥物化學#43579
|
年份:
105年 |
選擇題數:
80 |
申論題數:
0
試卷資訊
選擇題 (80)
【已刪除】1.下列藥物何者具有最大的治療指數(Therapeutic index)? (A)Morphine (B)Diazepam (C)Pentobarbital (D)Digoxin
【已刪除】2.關於部分致效劑(partial agonists)之敘述,下列何者正確? (A)和完全致效劑(full agonists)相比,部分致效劑即使完全占有受體也只能有較低的反應 (B)引起的劑量反應曲線和完全致效劑相同 (C)部分致效劑無法產生最大反應之因是其受體之親和力較低 (D)部分致效劑不能被拮抗劑所對抗
【已刪除】3.下列各藥物和其作用之受體(receptor)間之交互作用中,何者為不可逆(irreversible)之結 合? (A)共價鍵 (B)離子鍵 (C)Van der Waals (D)氫鍵
【已刪除】4.下列何者屬於第三代cephalosporins,為治療淋病球菌(Neisseria gonorrhoeae)感染的首 選用藥? (A)Cefazolin (B)Ceftriaxone (C)Cefoxitin (D)Cefepime
【已刪除】5.有關抗生素Vancomycin之敘述,下列何者正確? (A)屬於β-lactam類抗生素 (B)主要用於治療革蘭氏陰性菌(gram-negative bacteria)造成之感染 (C)主要經由肝臟代謝使其失效 (D)必須以注射方式治療全身性感染
【已刪除】6.有關Penicillins之藥物動力學之敘述,下列何者正確? (A)Benzathine penicillin可以靜脈注射方式給藥 (B)Piperacillin可以口服方式治療細菌感染 (C)大多數Penicillins由肝臟代謝後再經腎臟排出 (D)腦膜炎發生時Penicillin G可進入腦脊髓液達有效治療濃度
【已刪除】7.下列何種抗生素抑制人類癌細胞增生,可作為癌症治療用藥? (A)Azithromycin (B)Bleomycin (C)Gentamicin (D)Rifampin
【已刪除】8.長期口服抗癌藥物下列何者較易增加白血病的發生率? (A)Paclitaxel (B)Etoposide (C)Methotrexate (D)Chlorambucil
【已刪除】9.Fluoroquinolones大部分經由腎小管的分泌排泄,下列那一種藥物係部分經由肝臟代謝後由膽 道排泄? (A)Ciprofloxacin (B)Ofloxacin (C)Moxifloxacin (D)Levofloxacin
【已刪除】10.口服抗凝血藥物併用下列何種藥物會增加prothrombin time? (A)Barbiturates (B)Cholestyramine (C)Sulfinpyrazone (D)Rifampin
【已刪除】11.下列何種降血脂藥物之副作用是於服藥後有皮下血管舒張與溫暖的感覺? (A)atorvastatin (B)cholestryramine (C)ezetimibe (D)niacin
【已刪除】12.下列何藥會增加Warfarin之抗凝血作用? (A)aminoglutethimide (B)metronidazole (C)phenytoin (D)primidone
【已刪除】13.有關Mifepristone的敘述,下列何者錯誤? (A)拮抗黃體素(progesterone)受體 (B)拮抗糖皮質激素(glucocorticoid)受體 (C)口服的生體可用率(bioavailability)佳 (D)與PGI2衍生物併用可用於懷孕前七週中止妊娠
【已刪除】14.Danazol之主要治療用途為何? (A)避孕 (B)促進排卵 (C)良性前列腺肥大(benign prostatic hyperplasia) (D)子宮內膜異位(endometriosis)
【已刪除】15.甲狀腺機能亢進婦女於孕後前三月期間之較佳療法為何? (A)投予Propylthiouracil (B)投予Liotrix (C)手術切除法 (D)131I放射線療法
【已刪除】16.下列何者為毛地黃(Digitalis)的藥理作用? (A)減少鈣離子被吸收進入肌漿的內質網 (B)增加 ATP 的合成量 (C)抑制心肌細胞上 β-受體 (D)增加收縮期心肌細胞內鈣離子濃度
【已刪除】17.下列何者為使用enalapril治療原發性高血壓的藥理作用機轉? (A)競爭性抑制Angiotensin II與受體結合 (B)減少血液中Angiotensin II的濃度 (C)減少血液中Renin的濃度 (D)減少血液中鉀離子及增加血液中鈉離子濃度
【已刪除】18.下列何種治療心血管疾病的藥物,其劑量過高時易引發嚴重的心跳過快? (A)Verapamil (B)Guanethidine (C)Isosorbide dinitrate (D)Propranolol
【已刪除】19.下列何者是治療再發性高鈣腎結石絞痛之首選藥物? (A)Furosemide (B)Spironolactone (C)Acetazolamide (D)Hydrochlorothiazide
【已刪除】20.使用下列何種抗心律不整藥物較易出現甲狀腺機能異常之副作用? (A)adenosine (B)amiodarone (C)bretylium (D)disopyramide
【已刪除】21.若一高血壓病人同時患有糖尿病,則下列那一種降壓藥物較不會使血糖升高? (A)Carteolol (B)Metoprolol (C)Nadolol (D)Verapamil
【已刪除】22.下列那一種藥物對慢性心衰竭病人心臟肥大或纖維化之病程進展之抑制效果最差? (A)Enalapril (B)Carvedilol (C)Candesartan (D)Nifedipine
【已刪除】23.下列有關Quinidine藥理作用的敘述,何者錯誤? (A)在心律減慢時對動作電位去極化速率較不影響 (B)會使心電圖P-R interval延長 (C)心跳越快時其對動作電位延長作用越明顯 (D)大劑量時會使QRS duration延長
【已刪除】24.下列何藥物主要會抑制圖中位置2之NaCl再吸收?
(A)Thiazide (B)Aldosterone antagonist (C)Furosemide (D)ADH(antidiuretic hormone)antagonist
【已刪除】25.下列間接作用型擬副交感神經藥物,何者不屬於四級胺類之結構? (A)Physostigmine (B)Pyridostigmine (C)Neostigmine (D)Edrophonium
【已刪除】26.三種擬交感神經作用劑(sympathomimetics)對α腎上腺素受體之效價(potency)的排序, 下列何者正確? (A)epinephrine ≥ norepinephrine>> isoproterenol (B)epinephrine > isoproterenol >>norepinephrine (C)isoproterenol > norepinephrine >epinephrine (D)norepinephrine > isoproterenol >epinephrine
【已刪除】27.下列何種藥物不適合用於治療帕金森氏症(parkinsonism)? (A)Bethanechol (B)Levodopa (C)Bromocriptine (D)Trihexyphenidyl
【已刪除】28.下列藥物何者不適用於胃食道逆流疾病(gastroesophageal reflux disease; GERD)? (A)Metoclopramide (B)Ranitidine (C)Domperidone (D)Atropine
【已刪除】29.抗焦慮藥物buspirone是屬於下列何種受體之部分致效劑(partial agonist)? (A)5-HT1A (B)5-HT1B (C)5-HT1C (D)5-HT1D
【已刪除】30.下列藥物何者不適用於預防暈車、暈船等暈動症(Motion sickness)? (A)cyproheptadine (B)diphenhydramine (C)meclizine (D)promethazine
【已刪除】31.有關抗癲癇藥物及其主要之作用機轉,下列何者錯誤? (A)Ethosuximide抑制丘腦(thalamic)的T-型鈣離子通道(Ca2+ channel) (B)Carbamazepine阻斷鈉離子通道而降低細胞興奮性 (C)Tiagabine選擇性阻斷GAT-1(GABA transporter isoform 1)而阻斷GABA在突觸前 (presynaptic)的再吸收 (D)Gabapentin不可逆性抑制GABA轉胺酶(GABA transaminase)
【已刪除】32.小英因為明天有面試很緊張而無法入睡,下列何種藥物不適合幫助她入眠? (A)Buspirone (B)Zolpidem (C)Diazepam (D)Ramelteon
【已刪除】33.下列那一種抗憂鬱藥物較不容易產生昏睡(drowsiness)的副作用? (A)Amitriptyline (B)Imipramine (C)Fluoxetine (D)Mirtazapine
【已刪除】34.下列何者為使用非典型抗精神病藥物Clozapine所產生之最嚴重的副作用? (A)類帕金森氏症症狀(Parkinsonian symptoms) (B)遲發性運動困難(Tardive dyskinesia) (C)高泌乳素症(Hyperprolactinemia) (D)顆粒白血球缺乏(Agranulocytosis)
【已刪除】35.下列那一種麻醉性氣體具有相對性較短的麻醉恢復期? (A)Nitrous oxide (B)Halothane (C)Enflurane (D)Isoflurane
【已刪除】36.下列那一種生理反應,不屬於類鴉片物質停止使用後,所出現的戒斷現象(withdrawal syndromes)? (A)流淚(lacrimation) (B)瞳孔縮小(miosis) (C)腹瀉(diarrhea) (D)體溫高熱(hyperpyrexia)
【已刪除】37.使用下列那一種麻醉劑時,最需要再合併給予肌肉鬆弛劑? (A)Methoxyflurane (B)Benzodiazepines (C)Nitrous oxide (D)Halothane
【已刪除】38.古柯鹼濫用所面臨的問題與下列那一種藥物的濫用問題相同? (A)Heroin濫用 (B)Amphetamine濫用 (C)酒精濫用 (D)大麻濫用
【已刪除】39.下列有關抗癲癇用藥Carbamazepine與Oxcarbazepine的敘述,何者錯誤? (A)Oxcarbazepine所產生的肝毒性較Carbamazepine低 (B)Oxcarbazepine所產生的藥物過敏性反應較Carbamazepine低 (C)Oxcarbazepine所產生的作用強度(potency)較Carbamazepine大 (D)Oxcarbazepine與Carbamazepine適用於同型式的癲癇治療
【已刪除】40.下列何種藥物可抑制細胞免疫反應、prostaglandin和leukotriene的合成? (A)Prednisone (B)Cyclosporine (C)Infliximab (D)Interferon
【已刪除】41.Sulfasalazine係經過下列何種代謝反應,生成sulfapyridine與5-aminosalicylic acid? (A)Conjugation (B)Hydrolysis (C)Reduction (D)Oxidation
【已刪除】42.下列藥物何者屬於tert-butylglycylamido衍生物? (A)Biapenem (B)Daptomycin (C)Telithromycin (D)Tigecycline
【已刪除】43.LogP=Σπ (fragments),其中P代表分配係數,π代表hydrophilic-lipophilic values。藥物分 子每增加一個amine,則π值減少多少? (A)0.5 (B)1.0 (C)1.5 (D)2.0
【已刪除】44.藥物之親脂性可利用logP=Σπ (fragments) 計算,其中P代表分配係數,π代表hydrophiliclipophilic values,則P=? (A)[C
pentanol
] / [C
water
] (B)[C
hexanol
] / [C
water
] (C)[C
heptanol
] / [C
water
] (D)[C
octanol
] / [C
water
]
【已刪除】45.假設CH
3
(CH
2
)
4
CH
2
OH之logP為2.0,試問CH
3
(CH
2
)
9
CH
2
OH之logP為多少? (A)4.0 (B)4.5 (C)5.0 (D)5.5
【已刪除】46.P-Glycoprotein係屬於下列那一類蛋白質? (A)Active transport protein (B)Plasma binding protein (C)Receptor protein (D)Passive transport protein
【已刪除】47.下列有關tacrine之敘述,何者正確? (A)具有nitroacridine之結構,用於治療阿茲海默症(Alzheimer's disease) (B)主要作用於蕈毒鹼(muscarinic)M
2
受體 (C)因具腎毒性而使其用途受限 (D)1-Hydroxy-tacrine為活性代謝物
【已刪除】48.下列有關triptan類藥物之敘述,何者正確? (A)屬於5-HT1D antagonist (B)Sumatriptan具有indole之結構 (C)Rizatriptan與propranolol可一起併用,增加療效 (D)可減輕冠心病患者之症狀
【已刪除】49.Acetylcholine之四種conformational isomers中,何種最安定? (A)Anticlinal (B)Antiperiplanar (C)Synclinal (D)Synperiplanar
【已刪除】50.下列何者為選擇性δ opioid受體拮抗劑? (A)Morphine (B)Naloxone (C)Naltrindol (D)Fentanyl
【已刪除】51.下列何者為阿片受體的affinity labeling agent? (A)
(B)
(C)
(D)
【已刪除】52.Baclofen是GABAB receptors的致效劑(agonist),其結構為: (A)
(B)
(C)
(D)
【已刪除】53.全身麻醉劑desflurane的結構為何? (A)
(B)
(C)
(D)
【已刪除】54.下列何者脂溶性最高,且口服生體可用率相對較低? (A)Atenolol (B)Bisoprolol (C)Propranolol (D)Timolol
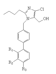
【已刪除】55. 下圖losartan結構中之取代基分別為:
(A)R
1
=tetrazole,R
2
=R
3
=H (B)R
2
=tetrazole,R
1
=R
3
=H (C)R
1
=R
2
=H,R
3
=tetrazole (D)R
1
=H,R
2
=R
3
=tetrazole
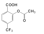
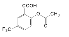
【已刪除】56.下列何者為triflusal的結構? (A)
(B)
(C)
(D)
【已刪除】57. 有關下圖化合物之敘述何者錯誤?
(A)合成的原料為p-chlorophenol (B)屬於離子交換樹脂 (C)具有降血脂作用 (D)易受esterase水解代謝
【已刪除】58.Enalapril通常做成何種鹽類? (A)HCl (B)H
3
PO
4
(C)Maleate (D)Oxalate
【已刪除】59.下列ACE抑制劑中,何者不屬於前驅藥? (A)Benazepril (B)Enalapril (C)Lisinopril (D)Ramipril
【已刪除】60.下列何者係與胰島素一起由胰臟β細胞分泌? (A)Amylin (B)Glucagon (C)Glucagon-like peptide-1 (D)Pramlintide
【已刪除】61.甲狀腺藥物L-thyroxine(T
4
,pKa = 6.7)於生理 pH值中,約有多少百分比為離子態 (ionized)? (A)1% (B)10% (C)50% (D)90%
【已刪除】62.具分解腸泌素(incretin)功能的DPP-IV是屬於何種類型之酵素? (A)Arginine protease (B)Lysine protease (C)Serine protease (D)Tyrosine protease
【已刪除】63.蛋白質藥pramlintide是將amylin之胺基酸序列的那些位置以脯氨酸(proline)置換而得? (A)25, 26, 27 (B)25, 26, 28 (C)25, 27, 28 (D)25, 28, 29
【已刪除】64.口服有效之雌性素ethinyl estradiol,結構上的乙炔基位於第幾位碳上? (A)16 α (B)16 β (C)17 α (D)17 β
【已刪除】65.下列口服降血糖藥中,何者屬於sulfonylurea類衍生物? (A)Glyburide (B)Metformin (C)Repaglinide (D)Rosiglitazone
【已刪除】66.何者不是aspirin的代謝物(metabolite)? (A)
(B)
(C)
(D)
【已刪除】67.下列何者是loratidine的代謝物(metabolite)? (A)
(B)
(C)
(D)
【已刪除】68.下列何者可口服? (A)
(B)
(C)
(D)
【已刪除】69.下列何者為N-arylanthranilic acid的衍生物? (A)Meclofenamate sodium (B)Oxaprozin (C)Ketoprofen (D)Sulindac
【已刪除】70.下列何者之口服生體可用率(bioavailability)最高? (A)Cimetidine (B)Famotidine (C)Nizatidine (D)Ranitidine
【已刪除】71.下列有關vidarabine的敘述,何者錯誤? (A)結構屬adenosine nucleoside (B)曾用作抗腫瘤藥物 (C)主要經adenosine deaminase代謝 (D)主要用於AIDS治療
【已刪除】72.下列有關indinavir的敘述,何者錯誤? (A)結構屬於hexanoic acid amide衍生物 (B)屬於HIV protease抑制劑 (C)與midazolam有配伍禁忌 (D)主要經由CYP3A4代謝
【已刪除】73.下列何種第三代頭孢菌素(cephalosporins)之結構,於C-7具有ethylidinecarboxyl ? (A)Cefdinir (B)Ceftazidime (C)Ceftibuten (D)Ceftriaxone
【已刪除】74.2, 2'-Methylenebis(3, 4, 6-trichlorophenol)即為: (A)Hexylresorcinol (B)Halazone (C)Eugenol (D)Hexachlorophene
【已刪除】75.Chlorhexidine gluconate結構中含有下列那種官能基而具抗菌效果? (A)Phenol (B)Benzyl group (C)Gluconate (D)Biguanides
【已刪除】76.下列何種抗癌藥物會造成intrastrand cross-linking of DNA? (A)Busulfan (B)Procarbazine (C)Cisplatin (D)Cyclophosphamide
【已刪除】77.下列何種藥物結構中具有daunosamine? (A)Bleomycin (B)Dactinomycin (C)Daunorubicin (D)Mitoxantrone
【已刪除】78.下列抗癌藥中,何者之結構含catharanthine及vindoline兩部分? (A)Paclitaxel (B)Etoposide (C)Vincristine (D)Topotecan
【已刪除】79 (A)抗癲癇 (B)抗精神病 (C)抗老年癡呆症 (D)抗帕金森氏症
【已刪除】80.承上題,那一個化合物是GABA轉胺酶之不可逆(irreversible)抑制劑? (A)① (B)② (C)③ (D)④
申論題 (0)