所屬科目:1.程試設計;2.資料庫系統;3.資訊網路工程;4.計算機結構
1.下列 C/C++程式片段執行後,z 的值為何? (A) 25 (B) 27 (C) 29 (D) 31
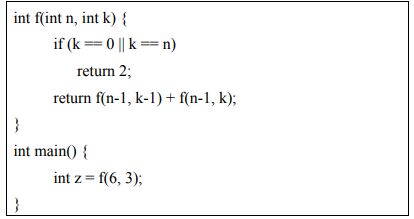
2.下列 C/C++程式片段執行後,z 的值為何? (A) 10 (B) 20 (C) 30 (D) 40
3.下列 C/C++程式片段執行後,z 的值為何? (A) 16 (B) 24 (C) 32 (D) 40
4.下列 C/C++程式片段執行後,z 的值為何?(A) 1 (B) 10 (C) 20 (D) 30
5.下列 C/C++程式片段執行後,z 的值為何? (假設 int 跟 unsigned int 皆為 32 位元) (A) 3 (B) 23 (C) 35 (D) 25
23.下列 C++ 程式片段,何者可以取得變數 z 的值? (A) z (B) *p (C) q (D) *q