所屬科目:教甄◆數學
41. 新北蕾夢綠茶專賣店做「快閃一週」優惠活動,若新北蕾夢綠茶專賣店一共有 40 家分店, 各分店分別統計所賣出的杯數並回報給總公司,總公司將本週賣出的杯數製作成銷售量累積相對次數分配折線圖如下: 求該週蕾夢綠茶賣出 800 杯以上的店家數佔總店家數的百分比? (A) 25% (B) 30% (C) 40% (D) 60%
42. 如圖,△ABC 為等腰直角三角形,其中灰色區域為△ABC 挖掉正三角形 ADE 之後的區域。則兩灰色區域△ACE 與△BDE 面積的比值為何? (A)(B) (C) (D)
43. 平面上有 A、B 兩相異點,依以下步驟作圖:(1)以 A 為圓心,大於的長度為半徑畫弧;(2)以 B 為圓心,大於的長度為半徑畫弧,並與步驟(1)所做之弧交於 C、D 兩點;(3)連接 A、B、C、D 四點成一凸四邊形。這個四邊形一定具有下列甲~丁 4 個性質中的幾個?甲、有一組對邊等長乙、有一組鄰邊等長丙、對角線互相平分丁、對角線互相垂直(A) 1 (B) 2 (C) 3 (D) 4
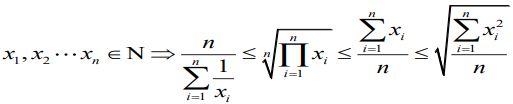
44. 「均值不等式」又名「平均值不等式」是數學中的一個基礎不等式,表示如下: 它在數學史上非常重要且可解決很多問題。若△ABC 其三邊長為 a,b和 c,請問利用均 值不等式可推導出 之最小值為何? (A) (B)(C) 6 (D) 9
50. 依據《十二年國民基本教育國民中小學暨普通型高級中等學校數學領域課程綱要》各年級 之學習重點說明,下列三個有關「空間與形狀」的教學內容安排順序,以何者為宜?(A) 甲>乙>丙 (B) 甲>丙>乙 (C) 丙>甲>乙 (D) 丙>乙>甲