阿摩線上測驗
登入
首頁
>
工程數學(應用數學, 線性代數、微分方程、複變函數與機率)
> 【已刪除】97年 - 97 專技高考_電子工程技師:工程數學(包括線性代數、微分方程、向量分析、複變函數與機率)#36663
【已刪除】97年 - 97 專技高考_電子工程技師:工程數學(包括線性代數、微分方程、向量分析、複變函數與機率)#36663
科目:
工程數學(應用數學, 線性代數、微分方程、複變函數與機率) |
年份:
97年 |
選擇題數:
0 |
申論題數:
6
試卷資訊
所屬科目:
工程數學(應用數學, 線性代數、微分方程、複變函數與機率)
選擇題 (0)
申論題 (6)
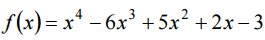
【已刪除】一、解
,f(0)=0 。(20 分)
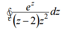
【已刪除】二、若 c 為圓 │z +1│ = 2,求圍線積分
。(20 分)
【已刪除】三、解微分方程式 (x -1)
2
y "+ 3(x -1)y ' + y = x (x -1 )> 0。(15 分)
【已刪除】四、設隨機變數x為 Poisson 分布,試證E{x}= a ,
=a 。(15 分)
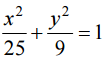
【已刪除】五、試求
之橢圓面積。(15 分)
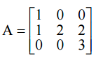
【已刪除】六、已知
,
,求 f (A)。(15 分)