阿摩線上測驗
登入
首頁
>
工程數學(應用數學, 線性代數、微分方程、複變函數與機率)
> 【已刪除】99年 - 99 國家安全情報特種考試_三等_電子組:工程數學#36428
【已刪除】99年 - 99 國家安全情報特種考試_三等_電子組:工程數學#36428
科目:
工程數學(應用數學, 線性代數、微分方程、複變函數與機率) |
年份:
99年 |
選擇題數:
20 |
申論題數:
7
試卷資訊
所屬科目:
工程數學(應用數學, 線性代數、微分方程、複變函數與機率)
選擇題 (20)
【已刪除】1 下列何者可為 y′′′ −6y ′′ + 11′y−6y = 0 之解? (A) y= e
4x
(B)y=e
-2x
(C) y= e
3x
(D) y=e
-x
【已刪除】2 y (t) 之拉氏轉換(Laplace transform)為
,其中 u(t) 為單位步階(unit step)函數,則 y (t) = ?
【已刪除】3 下列何者可為微分方程式 y ′ = e
−2x
之解?
【已刪除】4 下列何者可為微分方程式
之解?
【已刪除】5 下列何者錯誤? (A) y′′ + 4y′+3y = 0 是線性微分方程式
(B) y′ +2x
3
y= xy 是白努利(Bernoulli)方程式
(C) 2sin(y
2
) dx+ xycos(y
2
) dy = 0 是正合微分(exact differential)方程式
(D)x
2
y′′ + xy′+ 2y =0 ,其中 x > 0 ,是尤拉柯西(Euler-Cauchy)方程式
【已刪除】6 試求函數 f(t)= t sin2t之拉氏轉換(Laplace transform):
【已刪除】7 下列選項何者為 e z = 2i的一解,其中 i =√− 1 : (A)i ln(2) (B) ln(2)+i(3/2)π (C) ln(2)+i(5/2)π (D)ln(2)+(7/2) π
【已刪除】8 複變函數
對2i 展開的泰勒級數( Taylor series)為何?
其中 i = √−1 。
【已刪除】 9 已知
下列函數φ (x,y,z ) 何者滿足
?
【已刪除】10 給定曲線 4x
2
+y
2
= 4 ,z =−√3x ,則點 P (1,0,−√3) 至點Q (-1,0,√3) 之總長度為何? (A)π (B) 2π (C)3π (D) 4π
【已刪除】11 令向量
(A)− 6 (B)0 (C)2 (D)10
【已刪除】12 下列何者為聯立方程式
之最小平方解(Least squares solution)?
【已刪除】13
(A) 1/23(B) 1/46 (C)46 (D)23
【已刪除】14 設
則 A 的簡化列梯形式(reduced row echelon form)為何?
【已刪除】15 設
是 R
3
中的向量,試問下列那一個向量可以表示為v
1
,v
2
,v
3
的線性 組合(linear combination)?
【已刪除】16 試計算
的主值(principal value, −π <θ < π ),其中 z= re
iθ
。則下列何者正確?
【已刪除】17 若 為∇ gradient,f 為一純量函數,下列何者為圓柱體座標系( r,θ,z ) 上之∇f ?
【已刪除】
18 令 X 與 Y 為均勻分布(uniform distribution)於[ 0,1 ]之二獨立(independent)連續隨機變數(continuous random variable),試求機率P(Y
2
>3X
2
)=?
(A)1/6 (B)1/2
√
3 (C)3-
√
3/2 (D)
√
2/2
【已刪除】19 欲從一 52 張之標準撲克牌中抽出 5 張牌,試求 5 張牌皆為同一種花色(suit)之機率,若該機率為
, 其中
(A)58 (B)57 (C)28 (D)19
【已刪除】20 一離散隨機變數(discrete random variable)X 均勻(uniformly)分布於{1,2,3,
...
,10 },令 Y 為事件 X ≤ 5 之指標(indicator)隨機變數,令 Z 為 X 之奇數事件之指標(indicator)隨機變數,試求E(Y)+E(Z)?
(A)0.6 (B)1 (C)1.2 (D)1.5
申論題 (7)
【已刪除】⑴行空間(column space)
【已刪除】⑵列空間(row space)
【已刪除】 ⑶零空間(null space)。(15 分)
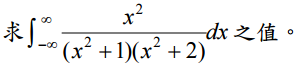
【已刪除】二、求解
(10 分)
【已刪除】三、請利用留數(residue)
(10 分)
【已刪除】⑴求 X 與 Y 的邊際機率密度函數(marginal probability density function)f
x
(x) 與f
y
(y) 。(10 分)
【已刪除】⑵求 W 的期望值(Expected value)。(5 分)
相關試卷
114年 - 114 專技高考_電機工程技師:工程數學(包括線性代數、微分方程、複變函數與機率)#133679
114年 · #133679
114年 - 114 專技高考_電子工程技師:工程數學(包括線性代數、微分方程、向量分析、複變函數與機率)#133677
114年 · #133677
114年 - 114 調查特種考試_三等_電子科學組:工程數學#129578
114年 · #129578
114年 - 114 國家安全情報特種考試_三等_電子組(選試英文):工程數學#127780
114年 · #127780
113年 - 113 專技高考_電子工程技師:工程數學(包括線性代數、微分方程、向量分析、複變函數與機率)#123976
113年 · #123976
113年 - 113 專技高考_電機工程技師:工程數學(包括線性代數、微分方程、複變函數與機率)#123971
113年 · #123971
113年 - 113 調查特種考試_三等_電子科學組:工程數學#122110
113年 · #122110
113年 - 113 身心障礙特種考試_三等_電力工程:工程數學#119517
113年 · #119517
112年 - 112 地方政府特種考試_三等_電力工程、電子工程:工程數學#118376
112年 · #118376
112年 - 112 專技高考_電機工程技師:工程數學(包括線性代數、微分方程、複變函數與機率)#117639
112年 · #117639