所屬科目:高中◆資優◆數學
2. 如圖(一)所示,有11個邊長是2公分的小正方形放置在一個大正方形內,試問大正方形的邊長為多少公分?
3. 利用下表,求(1.362)2 × (1.453)3 的值。 【算到小數點後第 3 位】
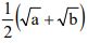
7. 如圖(二),已知 A(1)、B(4)、C(5)為數線上三點,O 為原點,在長方形 BCDE中, ,並依下列步驟作圖: (1) 以 B 點為圓心, 長為半徑,畫弧交數線於 F 點; D (2) 以 為直徑作半圓; (3) 過 A 點作 AH 垂直於數線,交半圓於 H 點。 O A B C F 若 的長可以寫成,其中 a、b 皆為正整數,求 a+b 的值。
8. 如圖(三),三個由有色玻璃做成的全等直角三角形,部分重疊放置於面積為20的正三角形內部,使得每個直角三角形各有一內角與正三角形的內角重合。若覆蓋兩次(深灰色)部分的總 面積恰好等於沒有覆蓋(白色)部分的面積,求一個由有色玻璃做成之直角三角形的面積。
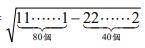
10. 設正整數a= ,求a的各位數字之總和。 80 個 40 個
12. 如圖(四)所示,正方形ABCD的邊長為1,E是 上的一點, 的中垂線 分別與 、 、 交於F、H、K,並交 的延長線於點G。已知 ,求 的長。
13. 在歐洲 哥德式建築的教堂裡,我們發現一個窗戶的造型如圖(五)所示,圖中 分別是以 C 點與 B 點為圓心,以 長 20 為半徑所畫出來的圓弧,半圓 O1 與半圓 O2 的半徑皆為 5,又圓 O3 是一個同時和 、半圓 O1 與半圓 O2 皆相切的圓,試求圓 O3 的半徑長。
14. 如圖(六)所示,ABCDEF為凸六邊形,G、H、I、J、K分別為 、 的中點, 。若 =15, =24, =12, =20,求六邊形ABCDEF的面積。
16. 設四邊形ABCD內接於一圓, 的延長線交於圓外一點E, 的延長線也交於圓外一點F, 若∠AED=33°,∠AFB=39°,求∠BCD的度數。 【四個解】
17. 若實數x、y滿足,求x+y的值。
19. 如圖(七),△ABC中,∠BAC=90°,圓O分別切 三邊於P、Q、T三點, P O Q R為直線PQ與直線AC的交點。設圓O的半徑長為2,且∠OBP=30°,試求 的長。
20. 如圖(八),在銳角△ABC中, =6√ 3 ,∠A=60°,D是 的中點,G為△ABC的重心。 若B、C為兩定點,試求當A點移動時, 長的最大可能範圍。