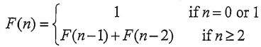
2.Given an integer n 2 0 , the Fibonacci number F(n) is defined as follows.
Whether the problem of finding a Fibonacci number F(n) is NP-complete? (A) Yes, because there exists a recursive program whose running time (in units of instruction) is at least 1.618", (B) No, because we can use an iterative approach to derive F(n) such that the running time (in units of instruction) is about n +1; (C) Yes, because we can use an iterative approach to derive F(n) such that the running time (in units of instruction) is about n+1; (D) No, because there exists a recursive program whose running time (in units of instruction) is at least 1.618"