所屬科目:教甄◆數學
1. 海拉魯平原上有兩座高塔,高度分別為 15, 20 公尺。現在分別從每一高塔的頂端向對面高塔的底面射出雷射光線, 兩光線在空中交於一點。請問該交點距離地面的高度為多少公尺? (A) (B)9 (C) (D)
4. 坐標平面上,兩坐標均為整數的點稱為「格子點」。請問有多少個格子點與原點 (0,0) 的距離為? (A)4 (B)8 (C)16 (D)32
7. 已知二次函數的圖形與 x 軸交於 (-1,0),(6,0) 兩點,而二次函數的圖形與 x 軸交於 (1,0),(4,0) 兩點。請問 a 值為何? (A) (B) (C) (D)
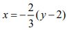
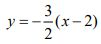
8. 已知直線 L: 2x+3y=0 ,將 L 向右平移2 單位得到直線 L1 ,求 L1 的方程式。
(A) (B)(C)(D)
9. 若聯立方程組 無解,則常數 a 之值為多少? (A)1 (B)0 (C) -1 (D) -2
10. 滿足的正整數 (x ,y ,z ,w ) 共有幾組? (A) 210 (B) 330 (C) 495 (D) 715
11. 已知等腰三角形 ABC 的腰長為=10。令三角形 ABC 的內心為 I,外心為 O,則 長度為 多少? (A) (B) (C) (D)
13. 設 a, b, c 為實數。若對所有的實數 均成立,則a+b+c之值為何? (A) -1 (B) - (C) (D)
14. 設 α,β 為二次方程式的兩根。請問:以為兩根的二次方程式為何?
(A)(B) (C) (D)
18. 已知絕對值不等式,請問 a+b之值為多少? (A) 1 (B) 2 (C) 3 (D) 4
19. 平平參加丟銅板比賽,持續丟擲一枚均勻銅板,直到出現正面時才停止。若正面出現在第 k 次丟擲,則可得分數 k 分。則平平所得分數的期望值為多少? (A) 1 (B) 2 (C) (D) 3
20. 考慮三次函數 。請問下列哪一個數最接近 f (0.9999) ? (A)0.9997 (B)0.9999 (C)1.0001 (D)1.0003
22. 設 Θ 為第二象限角,且等於多少? (A)3 (B) (C)- (D) -3
24. 空間中四點共平面,試求 a 值。 (A) −1 (B) −2 (C) −3 (D) 1
25. 試求 之值。 (A) (B) 1 (C)√6 (D)
26. 已知二次函數f(x) = −x2 + 2x + 6,試求此函數f(x)在 範圍內的最大值。 (A) 0 (B) 6 (C) 7 (D) 8
30. 試求級數的和(每一項都是兩等差數列逐項相乘)。 (A) 4160 (B)4165 (C)4200 (D)4250
31. 設坐標平面上三點 A(1,2), B(4,6), C(3,3) ,試求方向上的分量(或投影量)。 (A)2 √2 (B)2 √3 (C)2√ 5 (D)2 √7
33. 某工廠生產燈泡,其品檢部門在檢驗燈泡品質時是從每一盒(每盒 12 個)中任取 4 個來檢查,如果有 2 個或 2 個以 上是不合格燈泡,則整盒淘汰。若某一盒燈泡中有 5 個不合格燈泡,則此盒燈泡被品檢部門淘汰的機率為? (A) (B) (C) (D)
34. 設之值。 (A)不存在 (B)−1 (C)0 (D)1
35. 設三角形三邊長為 a ,b ,c ,其對角為2θ , 3θ , 4θ ,試求 secθ 之值。 (A) (B) (C) (D)
36. 設之值。 (A) ∞ (B) -∞ (C)0 (D)2
37. 已知 log a=1.02 ,求0.01 0.01 之值(以 a 表示)。 (A) a (B)10a (C) (D)
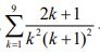
38. 試求之值。 (A) (B) (C) (D)
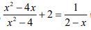
39. 試求方程式的根的個數。 (A)0 (B)1 (C)2 (D)3
40. 空間中兩歪斜線,試求直線 L1 與 L2 的距離。 (A)3 (B)3√ 2 (C)5 (D)5 √2