所屬科目:高中◆資優◆數學
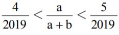
1. 若 且令=k,則正整數k共有 _________個。
4. 平面上坐標皆為整數的點稱為格子點。我們將原點以外的格子點分層,方法如下:若(a,b)是原點(0,0)以外的格子點, 且| a |和| b |中最大值為n,則稱(a,b)是在第n層的格子點(例如(3,-4)是在第4層;(8,-8)是在第8層)。請問在第18層 的格子點個數共有____________ 個
5. 有三堆棋子,每一堆棋子數一樣多,而且都只有黑白兩種顏色。已知第一堆的「黑子」和第二堆的「白子」一樣多, 第三堆的「黑子」占全體「黑子」的 ,如果把這三堆棋子集中在一起,則「白子」佔全部棋子的比例為__________ 。
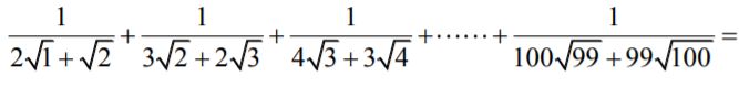
6. 化簡___________
10. 如右圖,梯形ABCD中, // , = 8, 2 , =8 ,= 6 , 則此梯形ABCD的面積為 _____________。
11. 如右圖,O 為圓心, 為直徑,直線 AB 和直線 CE 交於 E 點,與 分別切圓 O 於 A、D 兩點,若 =10,且知 △ODE 的周長為 15, 則 △ACE 的周長為______________ 。
12. 在一條道路上,測得A、B、C、D 四個城市之間的某些距離資料,列表如下: 請問城市A 和城市B 之間的距離為____________ 。
13. 已知 O 點是正方形 ABCD 的中心,E 點在 上,3 = ,點 G 是△BCE 的重心。若 =6, 則 的長為______________
14. 將一矩形ABCD的一頂點A固定,逆時針方向旋轉矩形,旋轉60度角。若 ==6,==2, 則所掃出區域的面積為____________ 。
15. 如右圖,ΔABC 為等腰三角形, ,圓 O 為其內切圓, 作 / /且與圓 O 相切,則ΔADE 之面積為______________ 。
16. 如右圖, 與為圓 O 之兩直徑,且⊥ ,弦 交 於 E 點。 若 =5 ,=3 ,則圓 O 的面積為____________ 。
17. 如右圖,正三角形 XYZ 內接於半徑為 1 的圓,圓 P 與圓 Q 是內接於弓形的最大圓。 若此兩圓的圓心連線段 分別交 、於 A、B 兩點,則 的長為 ____________。
18. 如右圖,△ABC 是直角三角形,∠ACB=90°,四邊形 ABDE、BCFG 是正方形, 和、分別交於 P、Q 兩點。若 =34,=102 , 則△BPG 的面積與△CPQ 的面積之差的絕對值為_____________
19. 在坐標平面上,直線 L 通過點 C(-6,12)且與 x 軸、y 軸分別交於 A、B 兩點。若 =3 且 O(0,0), 則△OAB 的面積為______________ 。 【兩個解】
20. 在坐標平面上,O(0,0),A(10,0),B(0,24)。已知△OAB 的外接圓被 x 軸與 y 軸分成在第一象限、第二象限、 第四象限三個區域,且這三個區域的面積依序為 a、b、c,則 a-b-c 的值為_______________