所屬科目:轉學考-代數
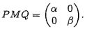
3. [20%] Prove the following simple form of the structure theorem for finitely generated mod- ules over a principal ideal domain (so you ca can not apply the struc cture theo orem directly). Let A be a principal ideal domain and M a 2 x 2 matrix whose entries are in A. Show that there exist invertible matrices P, Q with entries in A and a,β A with a | β such that
(a) [5%] For a positive integer n, let Φ(n) denote the cardinality of invertible elements in the ring Show that where p runs through all primes dividing n.
(b) [10%] Determine the cardinality of invertible 2 x 2 matrices with coefficients in Z/nz in terms of Φ(n).
(a) [4%] Let be a monic with f(0) = ±1 such thathave no common root in C. Suppose f(x)=g(x)h(x)for non n-constant.Show that there exists a monic
(b) [8%] Show that for n ≥ 2 and f(x) = xn -x - 1, the two polynomials have no root in common in C.
(c) [8%] Let f(x) = xn-x -1 for n≥ 2. Show that if a monicsatisfies