所屬科目:研究所、轉學考(插大)◆普通化學
3. Which of the following combinations has the same number of electrons? (A)(B)(C)(D)(E)
4. For a reversible reaction A + B ⇌ C + D, the enthalpy change and activation energy of the forward reaction are -20.0 kJ/mol and 85.0 kJ/mol, respectively. What is the activation energy of the reverse reaction? (A)65.0 kJ/mol(B) -105.0 kJ/mol(C) -65.0 kJ/mol(D) 105.0 kJ/mol(E) 130.0 kJ/mol.
5. Which of the following acids and its sodium salt are the best combination for buffering a solution at pH 4.30? (A) benzoic acid (B) propanoic acid (C) chloroacetic acid (D) hypochlorous acid (E) all of the above are similar
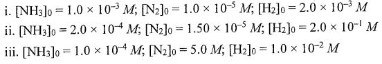
7. For the synthesis of ammonia at 500℃, the equilibrium constant is . Determine which system in the following cases will shift toward the product? (A) only i(B) only ii(C) only iii(D) i & ii(E) i & iii.
8. Which has the largest ion size? (A)(B)(C)(D)(E)
12. What kind of orbitals of carbon atoms are used to form π molecular orbitals in a benzene molecule? (A) s orbitals(B) p orbitals(C) sp orbitals(D) sp2 orbitals(E) sp3 orbitals.
14. Determine the pH at the second equivalent point for the titration of a H3PO4 solution with NaOH. (A) pH =(B) pH=(C) pH =(D) pH =(E) pH =
15. Which of the following sets of quantum numbers is allowed in the hydrogen atom? (A)(B)(C)(D)(E)
19. Which of the following electromagnetic radiations has the largest wavelength? (A) X ray (B) Infrared (C)γ ray (D) Visible light (E) Ultraviolet