所屬科目:教甄◆數學專業
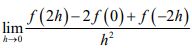
1. 設,則 之值為何? (A) 6 (B) 8 (C) 10 (D) 12
2. 求曲線x2+ 3xy+y2+x-y= 10 在點 (1, 2) 上的切線方程式為何? (A)(B) (C) y =- x+ 3 (D)
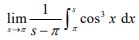
3. 設之值為何? (A) (B) (C)(D)
4. 設區間[a, b) 為冪級數之收斂域,則 a + 4b 的值為何? (A) -1 (B) 0 (C) 1 (D) 2
5. 設空間中ㄧ點 (2, 1, 3) 關於平面 x- 3y+ 2z= 4 的對稱點座標為(α, β, γ) , 則 β + γ 的值為何? (A) 4 (B) (C)(D)
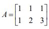
6. 設矩陣 ,則 a+c+d=? (A) 110 (B) 111 (C) 112 (D) 113
8. 已知 log3 = 0.4771. 設n 為最小的自然數滿足, 則n =? (A) 42 (B) 43 (C) 44 (D) 45
9. 設 , 則 x3+ 3x +1 之值為何? (A)(B)(C) (D)
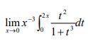
10. 設,則之值為何? (A) (B)(C) (D)
11. 下列何者不是13 的倍數 ? (A)(B) (C) (D)
12. (1+ x + x2 + x3 +x4)(x+ x2+ x3+...+)2 的展開式中, 的係數為何? (A) 25 (B) 30 (C) 35 (D) 40
13. 設 log x+2 log y= 1, 試求 3x + 2y2 的最小值為何 ? (A) (B) (C) (D)
14. 已知 是方程式 x2-9x cosθ +4=0 的一個根, 且θ為銳角,則 =? (A)(B) (C) (D)
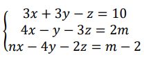
16. 若方程組有無窮多解, 求m-n= ? (A) 4 (B) 5 (C) 6 (D) 7
17. 設 α 為在圓盤之最大值, 則 α2= ? (A) (B) (C) (D)
18. 求極限。 (A) -1/2 (B) 1/2 (C) 0 (D) 3
21. 假設f(x)= x2+ y2 ,則∇f (1,1)為 (A) 不存在 (B) 4 (C) <2,2> (D) 2 x +2 y
22. 積分為 (A) π /3 2 + (B) 0 (C)(D)
23. 極限值 為 (A) 1/2 (B) 1/3 (C) 1/4 (D) 1/5
24. 極限值為 (A) -1/4 (B) 1/4 (C) 0 (D) -1
25. 假設 ,則 f (xk ) 極限為何? (A) -2 (B) -1 (C) 0 (D) 1
26. 級數之和為 (A) 1/2 (B) 3/4 (C) 1/3 (D) 2
27. 假設,則 A 可能為 (A) (B) (C)(D)
28. 在函數 f (x) = sinx 的馬克勞倫級數(Maclaurin series)中的係數為何? (A) 1/2 (B) 0 (C) 1/ (18!) (D) -1/ (18!)
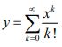
29. 冪級數為以下哪個方程式的解。 (A) y '' =y2 (B) ' y = y (C) ' y = -y (D) ( y ')2 =2y
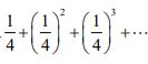
30. 假設1為 (A) 0 (B) 1 (C) 3 (D) 1/3
31. 假設 A 為2✖ 3 實數矩陣且C 為5✖ 8實數矩陣,現在假設 ABC 三矩陣之乘法有意義,則矩陣 B 之大小為 (A)2✖ 3 (B) 3✖ 4 (C) 3 ✖5 (D) 8✖ 2
32. 以下哪一個方陣不可逆? (A)(B) (C)(D)
33. 令 ,則 A 之零空間(null space)為R3 之 (A) 一點 (B) 一條線 (C) 一平面 (D) 整個R3
34. 假設, Ax 表示以下何種運作? (A) 向量x順時針旋轉 45° (B) 向量x逆時針旋轉 45° (C) 向量x對於某一直線的鏡射 (D) 以上皆非
35. 假設 ,則矩陣 A 的零化度(nullity)為 (A) 2 (B) 3 (C) 4 (D) 以上皆非
36. 假設V 表示所有的2✖ 3 實數矩陣所構成之向量空間,則V 的維度為 (A) 2 (B) 3 (C) 5 (D) 6
37. = ?(A) -1 (B) 1 (C) 2π (D) - 2π
39. ,求 f (π ) =? (A) 0 (B) (C) 1 (D)
41. 設函數,求f( x ) 的最小值為 (A) - 5 (B) - 3 (C)1 (D)2
42. (A) 0 (B) 1 (C) (D)
43. 設之值 (A) 2cos3θ (B) 2si±n3 θ (C)cosθ±i sin3 θ (D) 2θ[cos3θ±isin3 θ ]
45. 求=? (A)58 (B)61 (C)68 (D)72
48. 設a i , i = 1, 2, …, 50為正整數,已知= 1504 且 d | ai ,i = 1, 2, …, 50,求d的最大值為 (A) 4 (B) 8 (C) 16 (D) 32
49. 在座標平面上滿足y2-4x2≤0 與| x |≤ 2的區域其面積為 (A) 8 (B) 16 (C) 24 (D) 32
50. 設 0<X <1 , 0<Y<1 ,求 X+Y≤ a( 1<a<2)的機率,即求 P(X+Y≤a)= ?) (A) (B)(C) (D)