所屬科目:學士後西醫物理及化學
2. Suppose a block is placed on a rough surface inclined relative to the horizontal and the coefficient of static friction between the block and the rough surface is μS. Let the incline angle be increased from θ = 0 until the block starts to move. What is the critical angle θc at which this slipping just occurs? (A) θc= arctan(μS ) (B)θc= arccos(μS )(C)θc=arcsin(μS ) (D)θc =π/2 (E) None of the above.
5. The electric inductance L is defined as the magnetic flux ΦB divided by current I. What is the unit of the inductance L divided by electric resistance R ? (A) tesla (B) Hz (C) Wb (D) sec (E) None of the above.
7. The position of a particle is given by the expression x= 4 cos( 3 πt + π), where x is in meters and t is in seconds. What is the frequency? (A) 1.0 Hz (B) 1.5 Hz (C) 3.0 Hz (D) 4.0 Hz (E) 9.4 Hz
9. A gas in a cylinder starts from initial state i to finial state f through 4 different paths as shown in the figure. Regarding to the heat energy, work, and internal energy, which statements is incorrect?(A) Path 1 is isobaric expansion, gas must be heated. (B) Path 2 is isothermal expansion; no work is involved in this process. (C) Path 3 is adiabatic expansion, therefore no heat transfer occurred. (D) Path 4 is isochoric cooling; heat is extracted out of gas. (E) Gas do not do work for path 4 only.
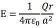
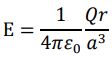
11. A conducting sphere of radius R contains a positive charge. Which figure correctly represents the magnitude of the electric field E as a function of the distance r from the center of the sphere? (A) (B)(C)(D)(E)
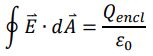
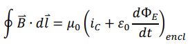
12. Which equation is not one of Maxwell’s equations? (A) (B) (C) (D) (E)
13. The flux of the electric fieldN/C through a 2 m2 portion of the xz plane is ______. (A) 16 N●m2 /C (B) −48 N●m2 /C (C) 48 N●m2 /C (D) −60 N●m2 /C (E) 60 N●m2 /C
15. A light from medium A with refractive index (nA) enters medium B and medium C with refractive index, nB and nC respectively. Which of the followings is correct?
(A) nA > nB > nC (B) nA > nC > nB (C) nB > nC > nA (D) nB > nA > nC (E) nC > nA > nB
16. Complete the following nuclear reaction:The □ , A and B should be: (A) He, 249 and 86 (B) C, 244 and 98 (C) C, 249 and 92 (D) C, 249 and 98 (E) He, 244 and 98
17. An anion has the following Lewis structure: What is the possible identity for element E?(A) Si (B) P (C) S (D) Ar (E) Cl
22. Based on reaction shown as below, the two complexes can be classified into which type of isomerism? (A) stereoisomerism (B) optical isomerism (C) geometric isomerism (D) ionization isomerism (E) linkage isomerism
28. How many moles of Ca(NO3)2 must be added to 0.5 L of a 0.4 M KF solution to begin precipitation of CaF2? For CaF2, Ksp = 4.0 ✖ 10–11.(A) 2.0 ✖ 10–12(B) 1.0 ✖ 10–10 (C) 2.0 ✖10–10(D)1.0 ✖ 10–9(E) 5.0 ✖10–9
29. For the reaction below, Which of the following statements is true? (A) This reaction is endothermic.(B) △G for this reaction has to be negative at all temperatures. (C) Kp is smaller than 1.00 when△G for the reaction is negative. (D) ΔS° for this reaction is negative. (E) All of the above statements are true.
33. The block shown in the figure is released from rest when the spring is stretched a distance d. If k = 75 N/m, m = 0.5 kg, d =10 cm, and the coefficient of kinetic friction between the block and the horizontal surface is equal to 0.25, what is the speed of the block when it first passes through the position for which the spring is unstretched. (Gravitational acceleration g = 10 m/s2 )(A) 0.53 m/s (B) 0.92 m/s (C) 1.00 m/s (D) 1.22 m/s (E) 1.44 m/s k
35. A 3 kg particle moves to the right at 4 m/s as shown in the figure. The magnitude of its angular momentum in (kg ● m2 /s) about the point O is ______. (A) 0 (B) 48 (C) 72 (D) 144 (E) 1728
36. A particle moves in the xy plane, starting from the origin at t = 0 with an initial velocity having an x component of 20 m/s and a y component of −15 m/s. The particle experiences an acceleration in the x direction, given by ax = 4 m/s2 . What is the total velocity at any time? (A)(B)(C)(D)(E)
38. A 1 kg copper block and a 6 kg steel block are connected by a light string over a frictionless pulley. The two blocks are allowed to move on a fixed steel block wedge (θ = 60°) as shown in the figure. If the coefficients of friction of the copper-steel and steel-steel are 0.4 and 0.6, respectively, what is the acceleration of the two blocks? (Gravitational acceleration g = 10 m/s2 )(A) 5.28 m/s2 (B) 5.08 m/s2 (C) 4.88 m/s2 (D) 4.68 m/s2 (E) 4.28 m/s2
40. A 5 kg ball is held in the hand as shown in the figure, with the arm horizontal and 40 cm from the elbow joint. The forearm mass is 2 kg and the center of gravity is 18 cm from the joint. The biceps connect to the arm at 5 cm from the joint. How much force (FM) must the biceps exert to hold the ball in place? (Gravitational acceleration g = 10 m/s2 )(A) 472 N (B) 236 N (C) 118 N (D) 59 N (E) 30 N
42. Tension is maintained in a string as in the figure. The observed wave speed is v = 24 m/s when the suspended mass is m = 3 kg. What is the wave speed when the suspended mass is m = 1 kg? (Gravitational acceleration g = 10 m/s2 )(A) 4.6 m/s (B) 5.7 m/s (C) 8.0 m/s (D) 11.3 m/s (E) 13.9 m/s
49. A solid, insulating sphere of radius a has a uniform charge density throughout its volume and a total charge Q. Concentric with this sphere is an uncharged, conducting, hollow sphere whose inner and outer radii are b and c as shown in the figure. Find the magnitude of the electric field for r < a. (A) (B) (C)(D) (E) E = 0
50. Two long straight current-carrying parallel wires cross the x axis and carry currents I and 3I in the same direction, as shown in the figure. At what value of x is the net magnetic field zero?(A) 1 (B) 3 (C) 4 (D) 5 (E) 7
52. A plane with a wing length of 50 m is flying westward where the downward component of the earth’s magnetic field is 6 ✖ 10-5 T. What is the difference in potential between the wingtips when the speed of the plane is 720 km/hr, and which wingtip is positive? (A) 2.16 V, south (B) 2.16 V, north (C) 0.96 V, south (D) 0.96 V, north (E) 0.60 V, south
53. Implanted medical devices are often charged by transcutaneous energy transfer (TET), which uses a pair of coils in close proximity for wireless charging. The change of current in the coil outside the body causes the magnetic flux of the coil inside the body to change, thus generating an induced electromotive force. There are 10 coils with a radius of 1 cm, and the current of the outer coil drops from 10 A to 0, within 6 × 10-6 s, what is the average induced electromotive force of the inner coil? (Magnetic constant μ0 is 4π ✖ 10-7 T●m/A.) (A) 2.58 V (B) 2.79 V (C) 3.05 V (D) 3.29 V (E) 3.54 V
59. A light of wavelength 400 nm falls on a metal surface having a work function 1.70 eV. What is the maximum kinetic energy of the photoelectrons emitted from the metal?( c = 3.00 × 108 m/s, h = 6.626 × 10-34 J●s , 1 eV = 1.60 × 10-19 J) (A) 4.52 eV (B) 3.11 eV (C) 2.82 eV (D) 1.70 eV (E) 1.41 eV
60. The Balmer series for the hydrogen atom corresponds to electronic transitions that terminate in the state with quantum number n = 2 as shown in the figure. Consider the photon of the longest wavelength corresponding to a transition shown. What is its wavelength?(A) 420 nm (B) 458 nm (C) 540 nm (D) 656 nm (E) 720 nm
61. Which structure is not considered to have aromaticity? (A)(B)(C)(D)(E)
63. The reaction 2NO2 → 2NO + O2 obeys the rate law at 400 K. If the initial concentration of NO2 is 1.00 M, how long will it take for the [NO2] to decrease to 0.25 M ? (A) 50 s (B) 100 s (C) 200 s (D) 300 s (E) 600 s
69. Follow the balanced equation: N2(g) + 3H2(g) → 2NH3(g)An equal number of moles of nitrogen and hydrogen gases were added in a balloon. The volume of the balloon is 2.00 L before any reaction occurs. Determine the volume of the balloon after the reaction is complete, assuming constant temperature. (A) 0.67 L (B) 1.00 L (C) 1.33 L (D) 2.00 L (E) 4.00 L
72. The valve between the 3.00 L bulb, in which the gas pressure is 2.00 atm, and the 2.00 L bulb, in which the gas pressure is 2.70 atm, is opened. What is the final pressure in the two bulbs, assuming the temperature remains constant?(A) 0.71 atm (B) 1.03 atm (C) 1.62 atm (D) 2.01 atm (E) 2.28 atm
74. How many chiral centers are in the following structure?(A) 6 (B) 7 (C) 8 (D) 9 (E) 10
79. Determine the point group of the molecules shown below? (A) C3v (B) C3 (C) D3d (D) D3h (E) None of the above.
82. Using the data shown as follows to calculate ΔG° for the reaction (1 F = 96,485 coulombs): Fe(s) + Cu2+(aq) → Fe2+(aq) + Cu(s). The reduction potentials for Fe2+ and Cu2+ are as follows:Fe2+ + 2e– → Fe ε° = –0.44 V
Cu2+ + 2e– → Cu ε° = 0.34 V (A) –1.9 × 104 J (B) –1.5 × 105 J (C) 0 J (D) 1.9 × 104 J (E) 1.5 × 105 J
85. Nature rubber is a polymer derived from isoprene. What is the correct way to show the structure of rubber?(A)(B)(C)(D)(E)
86. Which compound has the highest boiling point among the following structures? (A) A (B) B (C) C (D) D (E) E
87. What are the products of the following reaction? (A)(B)(C)(D)(E)
88. Identify which of the reactions listed below are reactions between Brøsted–Lowry acids and bases.(A) I and II (B) I and III (C) III and IV (D) II and IV (E) I, III and IV
89. Which of the following molecules has zero net dipole moment? (A)(B)(C)(D)(E)
90. What is the product of the transformation listed below?(A) 1-Bromo-2-cyclohexylethane (B) 1-Bromoethylcyclohexane (C) 1-Bromo-3-ethylcyclohexane (D) 1-Bromo-2-ethylcyclohexane (E) 1-Bromo-1-ethylcyclohexane