阿摩線上測驗
登入
首頁
>
學士後◆化學
> 113年 - 113 亞洲大學_學士後獸醫學系招生考試試題:化學科#123227
113年 - 113 亞洲大學_學士後獸醫學系招生考試試題:化學科#123227
科目:
學士後◆化學 |
年份:
113年 |
選擇題數:
80 |
申論題數:
0
試卷資訊
所屬科目:
學士後◆化學
選擇題 (80)
1.Order the four metric prefixes from smallest to largest. (A) nano- < milli- < centi- < kilo- (B)milli- < nano- < centi- < kilo(C) kilo- < centi- < nano- < milli- (D)kilo- < centi- < milli- < nano
2.How many significant figures are there in the number 0.04560700? (A) 4 (B) 5 (C) 7 (D) 8
3.A method of separation that employs a system with two phases of matter, a mobile phase and a stationary phase, is called (A) filtration (B) chromatography (C) distillation (D) vaporization
4.Which of the following statements from Dalton's atomic theory is no longer true, according to modern atomic theory? (A) Elements are made up of tiny particles called atoms. (B) Atoms are not created or destroyed in chemical reactions. (C) All atoms of a given element are identical. (D) Atoms are indivisible in chemical reactions.
5.Which of the following are incorrectly paired? (A) K, alkali metal (B) Ba, alkaline earth metal (C) O, halogen (D) Ne, noble gas
6.NaHCO
3
is the active ingredient in baking soda. How many grams of oxygen are in 0.52 g of NaHCO
3
? (A) 0.099 g (B) 0.019 g (C) 6.19× 10
3
g (D) 0.30 g
7.What volume of 18 M sulfuric acid must be used to prepare 2.30 L of 0.145 M H
2
SO
4
? (A) 19 mL (B) 0.33 mL (C) 1.1×10
3
mL (D) 2.9 mL
8.Which of the following salts is insoluble in water? (A) Na
2
S (B) K
2
CO
3
(C) Pb(NO
3
)
2
(D) All of these are soluble in water.
9.In the reaction N
2
(g) + 3H
2
(g) → 2NH
3
(g), N
2
is (A) oxidized (B) reduced (C) the electron donor (D) the reducing agent
10.Boyle's law states that: (A)Equal amounts of gases occupy the same volume at constant temperature and pressure. (B) The volume of a fixed amount of gas is inversely proportional to its pressure at constant temperature. (C) The volume of a fixed amount of gas is directly proportional to its temperature in Kelvin at constant pressure. (D)The total pressure of a mixture of gases is the simple sum of the partial pressure of all of the gaseous compounds.
11.Body temperature is about 309 K. On a cold day, what volume of air at 276 K must a person with a lung capacity of 2.2 L breathe in to fill the lungs? (A) 2.46 L (B) 1.97 L (C) 2.08 L (D) 3.93 L
12. The partial pressures of CH
4
, N
2
, and O
2
in a sample of gas were found to be 135 mmHg, 508 mmHg, and 571 mmHg, respectively. Calculate the mole fraction of nitrogen. (A) 20.4 (B) 0.470 (C) 0.418 (D) 0.751
13.Calculate the work associated with the expansion of a gas from 42.0 L to 79.0 L at a constant 14.0 atm. (A) 518 L·atm (B) –518 L·atm (C)–1.11×103 L·atm (D) 588 L·atm
14. Which of the following properties is (are) intensive properties? I.mass II.Temperature III.Volume IV.Concentration V.energy (A) I, III, and V (B) II only (C) II and IV (D) III and IV
15. Fe has __________ that is (are) unpaired in its d orbitals. (A) one electron (B) two electrons (C) three electrons (D) four electrons
16. An atom of fluorine contains nine electrons. How many of these electrons are in s orbitals? (A) 2 (B) 4 (C)6 (D) 8
17. 1s
2
2s
2
2p
6
3s
2
3p
6
4s
2
3d
2
is the correct electron configuration for which of the following atoms? (A) Ca (B) Ti (C) Ge (D) Zr
18. For which of the following elements does the electron configuration for the lowest energy state show a partially filled d orbital? (A) Ti (B) Rb (C) Cu (D) Ga
19.Choose the compound with the most ionic bond. (A) LiCl (B) KF (C) NaCl (D) LiF
20. Which of the following bonds would be the most polar without being considered ionic? (A) Mg-O (B) C-O (C) O-O (D) Si-O
21. Which of these is an isoelectronic series? (A) Na
+
, K
+
, Rb
+
, Cs
+
(B) K
+
, Ca
2+
, Ar, S
2–
(C) Na
+
, Mg
2+
, S
2–
, Cl
–
(D) Li, Be, B, C
22. The hybridization of the central atom in ClF
2
+
is: (A) sp (B) sp
2
(C) sp
3
(D) dsp
3
23. How many of the following: F
2
, B
2
, O
2
, N
2
, are paramagnetic? (A) 0 (B) 1 (C) 2 (D) 3
24. Which of the following statements is false? (A) C
2
is paramagnetic. (B) C
2
is diamagnetic. (C) The carbon-carbon bond in C
2
2–
is stronger than the one in CH
3
CH
3
. (D) The carbon-carbon bond in C
2
2–
is shorter than the one in CH
3
CH
3
.
25.In which of the following groups of substances would dispersion forces be the only significant factors in determining boiling points? I.Cl
2
II.HF III.Ne IV. KNO
2
V.CCl
4
(A)I, III, V (B) I, II, III (C) II, IV (D) II, V
26. Which of the following is the correct order of boiling points for KNO
3
, CH
3
OH, C
2
H
6
, Ne? (A)Ne < CH
3
OH < C
2
H
6
< KNO
3
(B) KNO
3
< CH
3
OH < C
2
H
6
< Ne (C) Ne < C
2
H
6
< KNO
3
< CH
3
OH (D)Ne < C
2
H
6
< CH
3
OH < KNO
3
27.Cubic closest packing is another name for _____________. (A) simple cubic packing (B) body-centered cubic packing (C) face-centered cubic packing (D) hexagonal closest packing
28. Steel is considered to be a(n) __________. (A) interstitial alloy (B) ionic solid (C) molecular solid (D) substitutional alloy
29. How many milliliters of 15.7 M H2SO4 are needed to prepare 600.0 mL of 0.10 M H
2
SO
4
? (A) 0.26 mL (B) 94 mL (C) 3.8 mL (D) 1.9 mL
30. How many of the following help determine whether or not a solution forms?
I. the polarities of the solute and solvent
II. the densities of the solute and solvent
III. the probability of the mixed state (of the solution)
IV. the energies needed for the solution formation to occur
V. the state of matter of the solute (solid, liquid, gas) (A) 1 (B) 2 (C) 3 (D) 4
31.Consider the reaction X → Y + Z
Which of the following is a possible rate law? (A) Rate = k[X] (B) Rate = k[Y] (C) Rate = k[Y][Z] (D) Rate = k[X][Y]
32.If the reaction 2HI → H
2
+ I
2
is second order, which of the following will yield a linear plot? (A) log [HI] vs time (B) 1/[HI] vs time (C) [HI] vs time (D) ln [HI] vs time
33. Given the equation 2A(g) 2B(g) + C(g). At a particular temperature, K = 1.6 × 10
4
. If you mixed 5.0 mol B, 0.10 mol C, and 0.0010 mol A in a one-liter container, which direction would the reaction initially proceed? (A) To the left. (B) To the right. (C) The above mixture is the equilibrium mixture. (D) Cannot tell from the information given.
34.Calculate the [H
+
] in a solution that is 0.16 M in NaF and 0.25 M in HF. (K
a
= 7.2 × 10
–4
) (HF: 20.01 g/mol) (A)7.2×10
–4
M (B) 1.6 M (C) 1.1×10
–3
M (D) 0.20 M
35. Which of the following is true for a buffered solution? (A)The solution resists change in its [H
+
]. (B) The solution will not change its pH very much even if a concentrated acid is added. (C) The solution will not change its pH very much even if a strong base is added. (D)All of these.
36. Which of the following compounds has the lowest solubility in mol/L in water? (A)Al(OH)
3
Ksp = 2 × 10
–32
(B) CdS Ksp = 1.0 × 10
–28
(C) PbSO4 Ksp = 1.3×10
–8
(D)Sn(OH)2 Ksp = 3×10
–27
37. When the equation Cl
2
→ Cl
–
+ ClO
3
–
(basic solution) is balanced using the smallest whole-number coefficients, the coefficient of OH– is: (A) 1 (B) 12 (C) 3 (D) 6
38. Which oxide of a Group 2A element is not highly ionic? (A) Be (B) Mg (C) Ca (D) Sr
39. What is the maximum oxidation state expected for manganese? (A) +2 (B) +8 (C) +6 (D) +7
40. Which of the following coordination compounds will form a precipitate when treated with an aqueous solution of AgNO
3
? (A) [Cr(NH
3
)
3
Cl
3
] (B) [Cr(NH
3
)
6
]Cl
3
(C) [Cr(NH
3
)Cl]NO
3
(D) Na
3
[Cr(CN)
6
]
41. Using the VSEPR model, predict which atoms have bond angles of about 120°.
(A) II, IV (B) I, IV (C) II, III (D) I, III
42. The carbon has the correct orbital hybridization in which structures?
(A) II, IV, V (B) II, III, IV (C) I, II, III (D) I, IV, V
43.Identify the conjugate acids in the following reactions.
(A) I, IV, VI (B) I, III, VI (C) II, IV, V (D) I, III, V
44. Which is the stronger base if the equilibrium lies considerably to the right?
(A) I (B) II (C) III (D) IV
45. Which of the following are constitutional isomers of trans-1,2-dimethylcyclopentane?
(A) I, III, IV (B) II, IV, V (C) II, III, V (D) III, IV, V
46. Which conformation of 2-methylbutane is least stable?
(A) I (B) II (C) III (D) IV
47. What is the IUPAC name for the following compound?
(A) E-2-ethyl-2-butene (B) Z-3-methyl-3-pentene (C) E-3-methyl-2-pentene (D) Z-3-ethyl-2-butene
48. How many isoprene units are there in vitamin A?
(A) 2 (B) 3 (C) 4 (D) 8
49. Which diagram represents the slowest reaction?
(A) I (B) II (C) III (D) IV
50. Which compound has the highest heat (most negative) of hydrogenation?
(A) I (B) II (C) III (D) IV
51. Which structures are chiral?
(A) I, II, V (B) I, II (C) II, II, IV (D) III, IV
52. How many stereoisomers are possible for 2,3-butanediol? (A) 1 (B) 2 (C) 3 (D) 4
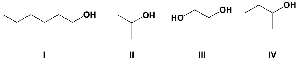
53. Which of the following compounds are secondary haloalkanes?
I) Isobutyl bromide II) 2-iodobutane III) isopropyl fluoride IV) neopentyl chloride (A) I, II (B) III, IV (C) II, III (D) I, IV
54. Arrange the nucleophiles in order of increasing reactivity (least reactive first).
HINT: Draw the lone pair(s) first.
(A) III, II, I, IV (B) IV, I, II, III (C) I, III, II, IV (D) III, I, IV, II
55. Arrange the compounds in the order of increasing solubility in water (least soluble first). (help: add the lone pairs to the oxygen atoms and look for the possibility of hydrogen bonding between the molecules and water)
(A) I, III, II, IV (B) III, I, IV, II (C) I, IV, II, III (D) IV, I, III, II
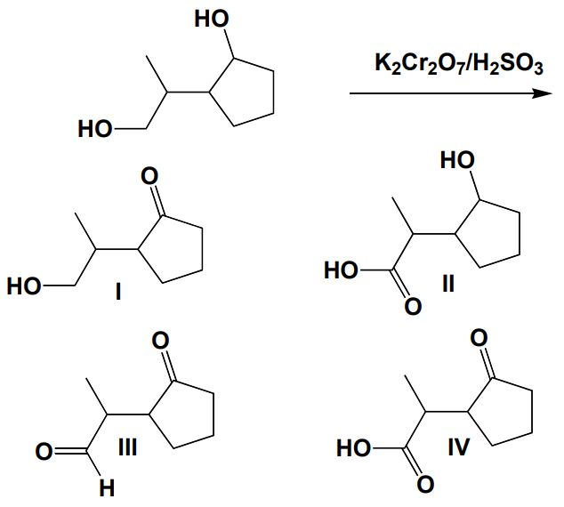
56. 2-(1-hydroxypropan-2-yl)cyclopentanol reacts with a mixture of potassium dichromate in concentrated sulfuric acid at room temperature. What product is formed? (help: assume that you have sufficient quantities of oxidizer to perform all possible reactions.)
(A) I (B) II (C)III (D) IV
57. How many Kekule structures are possible for benzene, naphthalene, and anthracene ?
(A)I: 3, II: 4, III: 4 (B) I: 2, II:3, III: 4 (C) I: 2, II: 4, III: 4 (D)I: 3, II: 3, III: 4
58. Which structures have the correct IUPAC names?
(A)I, II (B) III, IV (C) I, IV (D)II, III
59. Dopamine is a neurotransmitter occurring in a wide variety of animals, including both vertebrates and invertebrates. What is the classification of the amine?
(A) primary aromatic (B) primary aliphatic (C)secondary aromatic (D)tertiary aliphatic
60. Which is the name for the following compound?
(A) 4-carboxy aniline (B) 1-amino-4-carboxybenzene (C) benzylamine carboxylic acid (D) 4-aminobenzoic acid
61. Which is the wave number for an infrared band at 5 microns (µm)? (A) 500 cm
-1
(B) 2000 cm
-1
(C) 5000 cm
-1
(D) 10,000 cm
-1
62. Which regions in the IR spectrum could be used to distinguish between benzene and cyclohexane? (A) 1360-1380 cm
-1
(B) 2900-3100 cm
-1
(C) 1680-1750 cm
-1
(D) 3200-3600 cm
-1
63. The chemical shift in NMR spectroscopy is observed, because________________________. (A)the magnetic field is not constant during the measurement (B) of the interfering magnetic field caused by the electrons in the molecule (C) many elements have more than one isotope (D)the interference of neighboring nuclei
64. Which is the order of increasing δ values downfield from TMS for the methyl groups shown (lowest first)?
(A)I, III, IV, II (B) II, I, III, IV (C) IV, II, III, I (D)III, IV, II, I
65. Which compounds are named correctly?
(A) I, II, III (B) IV, V, VI (C) II, IV, V (D) III, IV, VI
66. Which reaction does not lead to 3-methyl-3-hexanol? (A) 2-butanone + propylmagnesium bromide (B) 3-hexanone + methyl magnesium bromide (C) 2-pentanone + ethylmagnesium bromide (D) 3-pentanone + ethylmagnesium bromide
67. What is the order of increasing acidity for these compounds (least acidic first)?
(A) IV, III, II, I (B) IV, II, III, I (C) II, III, I, IV (D) III, II, I, IV
複選題
68. Which are the reactants for the aldol product shown?
(A)a(B) b(C)c(D) d
69. Which classification best describes the mechanism of the synthesis of polyamides via step growth polymerization? (A) nucleophilic acyl addition (B) nucleophilic acyl substitution (C) electrophilic addition (D) radical substitution
70. Which pair of compounds would react to form the polymer shown?
(A)a(B) b(C)c(D) d
71. Which sugars and classifications are correctly matched?
(A) III, V (B) II, III, IV (C) I, III (D) III, IV, V
72. Which of the labeled bonds is a glycosidic bond?
(A) a (B) b (C) c (D) d
73. Which molecules are zwitterions?
(A) I, III (B) II, III (C) III, IV (D) I, IV
74. What are the differences between polyamides and proteins ?
I)Polyamides are unable to undergo hydrogen bonding between individual polymer chains.
II) Polyamides usually do not have hydroxyl- or thiol-groups as side chains.
III) Proteins and polyamides can be partially crystalline.
IV) Polyamides have a more stable bond between their monomers than proteins have
between the individual amino acids. (A) I and II (B) II and III (C) II and IV (D) III and IV
75. What is the correct name for this structure?
(A) 5’-dAMP (B) 5’-TMP (C) 3’-AMP (D) 3’-dTMP
76. Which statements are true?
a) A-DNA forms a right-handed helix
b) B-DNA forms a left-handed helix
c) Z-DNA forms a left-handed helix
d) ribose is a hexose (A) a and b (B) b and c (C) c and d (D) a and c
77. Fats, oils, phospholipids, prostaglandins and steroids have which properties in common? I) oxygen functionality II) nonpolar groups III) rings IV) unsaturation (A) I, II (B) III, IV (C) I, III (D) II, IV
78. Which property of phospholipids accounts for their ability to form micelles? (A) nonpolarity (B) unsaturation (C) hydrophilicity and lipophilicity (D) lipophilicity
79. Which statements about carbohydrate digestion and absorption are true?
I) The main function of carbohydrates is as a carbon source.
II) Hydrolysis begins in the mouth with α-amylase in saliva.
III) Starch is hydrolyzed directly to glucose.
IV) Hydrolysis is completed in the small intestine. (A) I, III (B) II, IV (C) I, IV (D) II, III
80. Which best describes this reaction?
(A)reverse aldol reaction (B) aldol reaction (C) reverse-Claisen condensation (D)Claisen condensation
申論題 (0)
相關試卷
114年 - [無官方正解]114 亞洲大學_學士後獸醫學系招生試題:化學(含普通化學、有機化學)#131168
114年 · #131168
113年 - 113 中國醫藥大學_學士班寒假轉學招生考試:普通化學#124976
113年 · #124976
112年 - 112 中國醫藥大學_學士班寒假轉學招生考試試題:普通化學#118600
112年 · #118600
112年 - 112 亞洲大學學士後獸醫學系招生考試試題_學士後獸醫學系:化學(含普通化學、有機化學)#117879
112年 · #117879
111年 - 111 中國醫藥大學學士班寒假轉學招生考試:普通化學#112961
111年 · #112961
111年 - 111 國立清華大學學士後西醫學系單獨招生考試_學士後醫學系自然科學組:化學#110532
111年 · #110532
111年 - 111 國立中興大學_學士後醫學系試題_學士後醫學系甲、乙組:化學#107632
111年 · #107632
111年 - 111 學士後醫學系招生考試:物理及化學#107629
111年 · #107629
110年 - 110 中國醫藥大學_學士班寒假轉學考試:普通化學#105829
110年 · #105829
109年 - [無官方正解]109 學士後招生考試_獸醫學系:化學(含普通化學、有機化學)#104289
109年 · #104289