所屬科目:教甄◆數學
1. 設x∈ R,求f(x) = 的最大值為_________。
2. 第一次段考英文考題包含選擇題與寫作題兩部分,某班學生英文選擇題分數(X)之標準差為σx=10;寫作題分數(Y)之標準差為☌y = 3;兩部分分數相加後之英文成績(X + Y)的標準差為σx+y =12。試求選擇題分數(X)與寫作題分數(Y)相關係數為_________。(答案以最簡分數表示)
3. 由1,2,3,……,12十二個數字中隨機取出四個相異的數,每個數被取出的機會皆相等,令S表示此四數的乘積,求S為完全平方數的機率為_________。
4. 袋中有5張紙牌,其中有2張標記為「5點」,另外3張標記為「4點」,今從袋中隨機取出2張紙牌,若2張紙牌點數不同,則結束取牌;若2張紙牌點數相同,則將紙牌放回,並繼續取牌,直到2張紙牌點數不同,則結束取牌。試問取出紙牌之點數總和的期望值為_________。
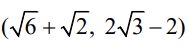
5. 平面上,有一個四邊形 ABCD 內接於圓Γ, 為圓「的直徑、O點為圓「的圓心。已知,=11 且∆ΟAB的面積:△OAD的面積=16:7,設,求數對(r, s) =_________。
6. 空間中,有一個邊長為3的正立方體,此正立方體在某平面E的投影為正六邊形,求此正六邊形的面積為_________。
7. 求滿足(a+bi)2002 = a-bi 的實數數對(a,b)有_________組。
8. 已知 f(x) = x² +6x+1,令符合兩條件 f(x) + f (y)≤0與 f(x) − f(y)≤0之點(x,y)所成的集合為R,則區域R的面積為_________。
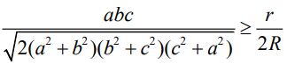
9. △ABC中,角A,B,C所對的邊分別為a,b,c, 其中b≥a,若2acos(B+C) + ccos B + bcosC=0,且∆ABC外接圓半徑為2,求2b-c取值範圍為_________。
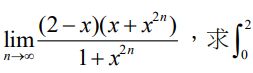
10. 計算=_________。
二、計算證明題:A. 設f(x) =dx =?
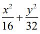
B. 設A、B、C是橢圓Γ:+=1上三點,且∆ABC的重心怡為此橢圓的中心,已知A,求△ABC的面積為何?
C.坐標平面上,若四邊形的四個頂點都在函數f(x)上,則稱此四邊形為f(x)的內接四邊形。已知函數f(x) = x² + ax的圖形有唯一一個內接正方形,求a之值為何?
(1)(5分)
(2)(5分)
(1) |T|=?
(2)∀Ai∈T,將Ai中所有的元素相乘的乘積記為mi,再將所有的m₁相加,其和為M,求M之值?