所屬科目:教甄◆數學
1. 設為一數列,且an ≠0,其中n = 1,2,3,…,如果a₁ = 97,且當所有正整數n >1時, = ,則前10項的乘積a₁A2A3… 之值為下列何者? (A) 960 (B) 1920 (C) 3840 (D) 7680
2. 試問下列6個數中,有幾個數是大於10? 7√2, 6√3, 5√5, 4√7, 3√11, 3√5 + √11 (A) 2 (B) 3 (C) 4 (D) 5
3. 已知二數,其中i² = −1,則下列何者錯誤? (A) Z17 + 227 = -1 (B) z₁9 + z29 = -1 (C) (D)
4. 設a,b皆為正數,如果 且,則ab之值為下列何者? (A) 64 (B) 128 (C) 256 (D) 512
5. 已知數列a₁, a2, a3,・・・, 是一個公差為1的等差數列,且a₁ + a2 + A3 + … + = 250,則a2 + a₄ + a6 + … +之值為下列何者? (A) 120 (B) 130 (C) 140 (D) 150
6. 設a為小於15之正數,已知函數f(x) = |x − a| + |x − 15| + |x − a − 15|,則當a≤x≤15時,f(x)之最小值為下列何者? (A) 12 (B) 13 (C) 14 (D) 15
7. 如下圖,ΔΑKL為正三角形,HIJKL為正五邊形,且BCDEFGHL為正八邊形,且ㄥ為此三圖形之公共頂點,則∠ABL的度數為多少度?
(A) 55 (B) 57 (C)(D)
8. 設x, y為實數,如果tanx+ tan y = 25, cot x + cot y = 30,則tan(x+y)之值為下列何者? (A) 60 (B) 120 (C) 150 (D) 180
9. 試問除以100的餘數為下列何者? (A) 11 (B) 21 (C) 41 (D) 81
10. 設a, b, c, d為正整數,如果a5 = b, c³ = d²,且c - a = 19,則d-b之值為下列何者? (A) 243 (B) 729 (C) 757 (D) 919
11. 已知函數,其中0<x<π,則函數f(x)在0<x<π之最小值為下列何者? (A) 6 (B) 9 (C) 12 (D) 18
12. 已知一多項式f(x) =(x² + ax + b),其中a, b 為實數,如果將f(x)除以(x-2)²,得到餘式為(x-2),則b = ? (A) -3 (B) -2 (C) 2 (D) 3
13. 已知在一圓周上自某一點開始,依順時針方向分別依序填入268個整數,使得依順時針方向數起,每20個連續的數之和都是75。如果在第17個位置上填入整數3,在第83個位置上填入整數4,且在第144個位置上填入整數9,那麼第210 個位置上的整數為下列何者? (A) -1 (B) 0 (C) 1 (D) 3
14. 試問矩陣的秋(rank)是多少? (A) 0 (B) 1 (C) 2 (D) 3
15. 設一函數f之定義域為所有正整數,如果f(1) = 101,且對所有正整數n > 1, f(1) + f(2) + f(3) + … + f(n) = n²f(n)都成立,則f(100)之值為下列何者? (A)(B)(C)(D) 1
16. 已知α, β, γ均為大於0的數,且滿足,則3a-5ẞ+2y的值為下列何者? (A) 0 (B) 1 (C) 2 (D) 3
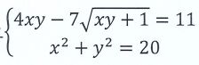
17. 如果聯立方程組 的解為x=a,y = b,其中xy >-1,則此方程組解(a, b)共有多少組? (A) 2 (B) 3 (C) 4 (D) 5
18. 將乘開後是幾位數? (A) 27 (B) 28 (C) 29 (D) 30
19. 有一個n位數A,具備以下兩個性質:(a)A中每一位數的數字都是1或2,(b)A 中至少有相鄰的二個數字都是1,例如:n=3, A=112、211及111 都滿足此二性質。
又有另一個m位數B,也具備以下兩個性質:(a)B中每一位數都是0或1,(b)B中至少有相鄰的二個數字都是0,例如:m = 3, B=100 滿足此二性質。
若表示n位數A的個數,表示m位數B的個數,則a4 + b4之值為下列何者? (A) 10 (B) 11 (C) 12 (D) 13
20. 已知a0,A1,A2,A3,A4的值正好都是-1, 0, 1中的數,則a0 + 3a1 + 32a2 + 33a3+34a4 的值是正整數共有多少個? (A) 121 (B) 122 (C) 123 (D) 124
21. 如下圖,正方形ABCD中,其邊長為1,將每邊作n等分,其中n為正整數,且點E,F,G,H都是各邊上的等分點,使得;分別作,此四線段分別交於P, Q, R, S四點。如果四邊形PQRS的面積為,試問n值為下列何者?
(A) 14 (B) 15 (C) 16 (D) 17
22. 設圓0和圓P分別表示圓心為0和圓心為P之二圓,又圓0的半徑為8,圓P的半徑為6,且圓心距=12。如果點B為此二圓相交之其中一點,過B點作一直線分別交圓0及圓P於A, C二點,使得,如下圖所示,則之長為下列何者?
(A) √130 (B) 16 (C) 2√65 (D) 2√130
23. 下圖表示以點O為圓心,為直徑的圓,垂直於且交於E點,如果的長度為二位整數,且的長度正好是此二位數的個位數字與十位數字互換位置;又的長度為正有理數,則直徑的長度為下列何者?
(A) 54 (B) 63 (C) 65 (D) 75
24. 直角三角形ABC中,∠C = 90°,且斜邊AB = 35。今在三邊上分別取一點E, D, F,使得四邊形CDEF為一正方形,且其邊長為12,如下圖所示,則直角三角形ABC之二股長之和為下列何者? (A) 25 (B) 28 (C) 31 (D) 49
25. 如果,且,則極限之值為下列何者? (A) 2 (B)(C) 3 (D) 5
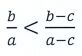
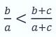
26. 設為假分數,且b<a<c<0,則下列何者正確? (A)(B)(C) (D)
27. 下列那一組相關係數排列,是依兩變數之間線性關係強烈程度,從弱到強呈現? (A)-.65, -.33,-. 10, +.43 (B)-.65, +.43, -.33, +.10 (C) +.10, -.33, +.43, -.6 (D)-.10, -.33, -. 65, +.43
28. 小美班上期中考的英文與數學成績統計如下:全班英文的平均分數為70分,標準差為7分,數學的平均分數為65分,標準差為5分。小美英文得 84 分,數學得75分。請問相較於全班同學,小美: (A)英文成績較佳 (B)英文與數學一樣好 (C)數學成績較佳 (D)平均數與標準差皆不同,兩科成績無法比較
29. 如下圖,將邊長為9的正三角形沿著水平線翻滾2次,求A點從開始到結束所經過的路線長?
(A)27π (B) 18π (C) 15π (D) 12π
30. 已知捷速租車行在市區設有甲、乙兩個營業據點。顧客租車後,須在當日營業結束前將車輛歸還至任一據點。某日營業結束清點時,發現在甲歸還的機車比從甲出租的機車少3輛。已知:從甲出租且在甲歸還的機車有20輛,從乙出租且在乙歸還的機車有 18 輛。關於該日從甲、乙出租的機車總數,下列何者正確? (A)從甲出租的比從乙出租的多3輛(B)從甲出租的比從乙出租的少3輛 (C)從甲出租的比從乙出租的多5輛(D)從甲出租的比從乙出租的少5輛
31. 已知7年8班有10位男生與8位女生,導師要從中選取 16 人組成游泳隊培訓,若男、女生的人數相差不超過兩位,請問有多少種可能的組合? (A)153 (B)125 (C)80 (D)45
32. 隨機抽樣30個受試者,得X變數的平均為60,標準差為10,請問母群平均數與標準差的不偏估計值? (A)μ = 72; s = 10.34 (B) μ = 60; s = 10.34 (C) μ = 60; s = 10 (D) μ = 60; s = 10.17
33. 下圖中,若三角形的三邊滿足關係式
(a+b):(b+c):(a+c)=4:5:6 求角C的度數。
(A)100度(B) 120度 (C) 135度 (D) 150度
34. 某班的英文期末考的平均分數為68.2分,標準差為7.5分,小美在這次考得 82 分。問小華的z分數為何? (A) 10.93 (B) 1.84 (C)-1.84 (D) 1.90
35. 把0、1、2、3四個數字組成數字不重複的四位數,例如:2341,請問這些四位數的總和是多少? (A) 38,664 (B) 39,996 (C) 33,330 (D) 29,997
36. 設起始正三角形的邊長為1,依 Koch 規則無限次遞迴後,請問該雪花的極限面積是多少? (A) (B) (C)(D)
37. 該雪花的周長在階數趨近無限大時為多少? (A) 9 (B)12 (C) 8√3 (D)無限大
38. 已知有十個人的年齡如下:24、36、18、28、20、x、44、28、40、50,若這些人年齡的中位數最小值為a歲,最大值為b歲,則b-a為多少? (A) 3 (B)4 (C)7 (D)11
39. 已知函數f(x) = f(c) + c₁ (x − c) + c2(x − c)² + … + , n ≥ 5,試問下列敘述何者 不正確 ? (A) f(x)在 x=c 處的切線方程式為y = f(c) + C₁(x - c) (B)若函數f(x)在 x=c 有相對極大值,則C₁=0 (C)若函數f(x)在 x=c 有反曲點產生,則C2=0 (D)若C₁=0,則函數f(x)在x=C 發生極值
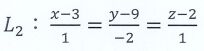
40. 已知 且tanx <0,請問sinx 值為何? (A)(B)(C)(D)
41. 求解不等式(A)(B)(C) (D)
42. 有一顆特殊的六面骰,已知其點數與出現的機率成正比,現投擲此骰子4次,令X為4次當中出現點數恰為3的次數,那麼P(X = 2)的值為何? (A)(B)(C)(D)
43. 已知投擲某枚硬幣,已知出現正面的機率為p,出現反面的機率為(1-p)。現投擲此硬幣n次,在投擲的過程中,第一次正面出現時,可獲得1元,第二次正面出現時,可再獲得2元,第三次正面出現時,可再獲得3元,依此類推。請問下列敘述何者正確? (A)總共得到(n²-n)元的機率為 (B)投擲硬幣第二次之後,累計獲得1元的機率為2(p-p²) (C)若n次投擲中出現正面r次,總共可拿到(r²-r)元 (D)若n次投擲後累計獲得3元,其機率為
44. 已知P(a,b)為橢圓4(x+1)² + (y − 2)² = 16上的一點,請問 3a+2b-2 的最小值為何? (A)11 (B) 9 (C)-9 (D) -11
45. 小美想要製作一些窗簾與桌布來增加收入。已知一件窗簾需花50分鐘的準備時間及75分鐘的裁縫時間,而一件桌布需花60分鐘的準備時間及45 分鐘的裁縫時間。每星期小美最多只能花16小時來進行準備工作,而縫紉機最多只能工作15小時,若窗簾的件數需少於或等於桌布的件數,且每間窗簾可獲利140元,每件桌布可獲利120元。請問小美一週可得的最高利潤是多少? (A) 2,040 (B) 2,020 (C)2,000 (D) 1,940
46. 已知參加健康檢查的40歲婦女中有1%罹患乳癌;而罹患乳癌的婦女,有80%的人乳房X光檢測結果呈現陽性。另外,有9.6%沒有乳癌的婦女其檢測結果卻是陽性。假設有一名 40歲婦女經乳房X光檢測後呈現陽性判定,則該婦女確實為乳癌患者的機率有多高? (A) 80% (B) 19.2% (C) 7.76% (D) 0.8%
47. 在△ABC中,已知向量 =(3,4), =(8, -6)。若點 D在上,且滿足=2:1,則△ABD 的面積為何? (A)25 (B) (C)(D) 50
48. 在平面直角坐標系中,考慮拋物線y=12-x² 與 x 軸所圍成的封閉區域。欲在此區域內畫一個矩形,使其一邊在X 軸上,其餘兩頂點在拋物線上。請求出此矩形的最大可能面積為何? (A) 64 (B) 16√3 (C) 32 (D) 16
49. 已知直線L₁與L2為空間中兩相異直線,則下列敘述何者 不正確 ? (A)若L₁與L2 相交,則可決定唯一平面 (B)若L₁與L2同時垂直於平面E,則L₁與L2 必互相平行 (C)若L₁與L2同時垂直於平面E,則L₁與L2 必互相垂直 (D)若直線L₁與L2為歪斜線,則L₁與L2不相交
50. 在空間中,給定兩歪斜線 與。若在直線L₁上取一點 P,在直線L2上取一點Q,使得線段長PQ最短,試求PQ距離為何? (A) 2√7 (B) (C) √17 (D) 3