阿摩線上測驗
登入
首頁
>
微積分
> 95年 - 095年高等三級暨普通氣象(高考)#37402
95年 - 095年高等三級暨普通氣象(高考)#37402
科目:
微積分 |
年份:
95年 |
選擇題數:
0 |
申論題數:
11
試卷資訊
所屬科目:
微積分
選擇題 (0)
申論題 (11)
一、今有兩個物理向量 x∈R
n
、y∈R
m
(m≥n),其關係為 y = Hx,其中 R
n
係 n 維之實數空 間、H 為一(m×n)之矩陣,若經實驗過程取得數據 ym,請求出 x 之最佳估測,使得 成本函數(y
m
-Hx)
T
W(y
m
-Hx)為最小,其中 W 為一(m×m)之權重對稱矩陣。(假 設 HT WH 為一可逆矩陣)(10 分)
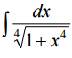
【已刪除】二、求積分
。(10 分)
【已刪除】三、令 f:[0,1]→R 為一連續可微函數,若對所有的連續可微函數 g:[0,1]→R,
均成立。請證明 f = 0。(15 分)
四、求心臟線 r = a(1+cosθ)(極座標表示式)繞極軸旋轉所形成曲面的面積。(10 分)
⑴∇×∇φ
⑵∇‧(∇×v)
⑶∇(∇‧v)-∇×(∇×v)
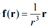
【已刪除】六、令
為一向量場,其中 r 為位置向量、r 為其長度,證明
其中 S 為一包圍原點之封閉曲面、dA 為其面積元素、n 為其法向量。(15 分)
【已刪除】七、求解:
,其中
(15 分)
⑴ y(0) = a,y(π ) = b
⑵ y(0) = a,y(π / 4) = b
相關試卷
114年 - 114 公務升官等考試_薦任_物理:微積分#133273
114年 · #133273
114年 - 114 一般警察特種考試_三等_消防警察人員:微積分#127792
114年 · #127792
113年 - 113 普通考試_天文:微積分#121499
113年 · #121499
113年 - 113 一般警察特種考試_三等_消防警察人員:微積分#120498
113年 · #120498
112年 - 112 公務升官等考試_薦任_物理:微積分#117315
112年 · #117315
112年 - 112 普通考試_天文、氣象:微積分#115417
112年 · #115417
112年 - 112 一般警察特種考試_三等_消防警察人員:微積分#114953
112年 · #114953
112年 - 112 身心障礙特種考試_四等_氣象:微積分#113932
112年 · #113932
111年 - 111 普通考試_氣象:微積分#109324
111年 · #109324
111年 - 111 一般警察特種考試_三等_消防警察人員:微積分#108604
111年 · #108604