所屬科目:學士後西醫-有機化學
13. Which of the following structures is a Fischer projection of (2R,3R,4S)-2,3,4-tribromoheptane?(A)(B)(C)(D)(E) None of the above
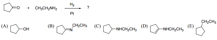
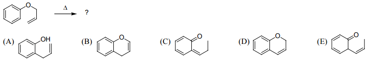
64. Which of the following compounds is the major organic product generated in the reaction below? Pay particular attention to region- and stereochemical detail.