阿摩線上測驗 登入

試題詳解

試卷:114年 - 16500 工程泵(幫浦)類檢修 丙級 工作項目 07:對心 1-36(2025/12/23 更新)#135629 | 科目:技檢◆工程泵(幫浦)類檢修-丙級

試卷資訊

試卷名稱:114年 - 16500 工程泵(幫浦)類檢修 丙級 工作項目 07:對心 1-36(2025/12/23 更新)#135629

年份:114年

科目:技檢◆工程泵(幫浦)類檢修-丙級

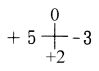
23. 如下圖,分厘錶針指在泵浦聯軸器端,從馬達端往泵端看,則對心時馬達要往


(A)左推 3mils
(B)左推 4mils
(C)左推 2mils
(D)右推 4mils 。

正確答案:登入後查看