阿摩線上測驗 登入

試題詳解

試卷:114年 - 16500 工程泵(幫浦)類檢修 丙級 工作項目 07:對心 1-36(2025/12/23 更新)#135629 | 科目:技檢◆工程泵(幫浦)類檢修-丙級

試卷資訊

試卷名稱:114年 - 16500 工程泵(幫浦)類檢修 丙級 工作項目 07:對心 1-36(2025/12/23 更新)#135629

年份:114年

科目:技檢◆工程泵(幫浦)類檢修-丙級

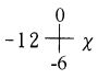
21. 對心時錶讀數如下圖所示,則χ值應為


(A)+12
(B)+6
(C)-6
(D)-12 。

正確答案:登入後查看