阿摩線上測驗 登入

試題詳解

試卷:114年 - 11600 電力電子 甲級 工作項目 08:電力電子系統與應用 151-200(2025/12/08 更新)#134459 | 科目:技檢◆電力電子-甲級

試卷資訊

試卷名稱:114年 - 11600 電力電子 甲級 工作項目 08:電力電子系統與應用 151-200(2025/12/08 更新)#134459

年份:114年

科目:技檢◆電力電子-甲級

複選題
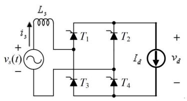
153. 下圖為單相全控全橋整流電路,交流電源,頻率為 60 Hz,含有交流側電感 =1.5 mH,若負載為=20A,激發延遲角為 30°,下列哪些選項正確?


(A)換向角度 u 約為 14°
(B)直流側輸出電壓之平均值約為 79V
(C)含有交流側電感會提高直流側輸出電壓
(D)電源端之電流平均值為 10A 。

正確答案:登入後查看