阿摩線上測驗
登入
首頁
>
技檢◆工業配線
>
114年 - 01300 工業配線 乙級 工作項目 04:高壓受配電盤(箱)及控制盤 1-50(2025/10/09 更新)#132026
> 試題詳解
試題詳解
試卷:
114年 - 01300 工業配線 乙級 工作項目 04:高壓受配電盤(箱)及控制盤 1-50(2025/10/09 更新)#132026 |
科目:
技檢◆工業配線
試卷資訊
試卷名稱:
114年 - 01300 工業配線 乙級 工作項目 04:高壓受配電盤(箱)及控制盤 1-50(2025/10/09 更新)#132026
年份:
114年
科目:
技檢◆工業配線
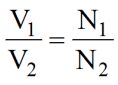
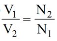
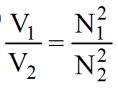
46. 變壓器之一次電壓為 V
1
,一次線圈匝數為 N
1
,變壓器之二次電壓 V
2
,二次匝數為 N
2
,下列答案中何者為正確?
(A)
(B)
(C)
(D)
。
正確答案:
登入後查看
詳解 (共 1 筆)
MoAI - 您的AI助手
B1 · 2025/10/16
推薦的詳解#6905198
未解鎖
1. 題目解析 題目涉及變壓器的基本原...
(共 973 字,隱藏中)
前往觀看
0
0