阿摩線上測驗 登入

試題詳解

試卷:97年 - 97 經濟部所屬事業機構_新進職員甄試試題_電機、儀電:電路學#137022 | 科目:國營事業◆1.電路學 2.電子學

試卷資訊

試卷名稱:97年 - 97 經濟部所屬事業機構_新進職員甄試試題_電機、儀電:電路學#137022

年份:97年

科目:國營事業◆1.電路學 2.電子學

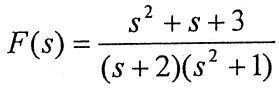
43.已知f(t)的拉普拉斯轉換為,則 
(A) f(t)=e-2t+sint
(B) f(t) =e-2t - sint
(C) f(t)=e-2t+cost
(D) f(t) =e-2t-cost

正確答案:登入後查看