阿摩線上測驗 登入

試題詳解

試卷:98年 - 98 經濟部所屬事業機構_新進職員甄試_化工製程:1.物理化學 2.化學反應工程學#91408 | 科目:1.化工熱力學 2.化學反應工程學

試卷資訊

試卷名稱:98年 - 98 經濟部所屬事業機構_新進職員甄試_化工製程:1.物理化學 2.化學反應工程學#91408

年份:98年

科目:1.化工熱力學 2.化學反應工程學

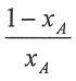
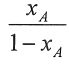
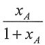
59.承上題,若 CSTR 之space time 5f6ee21786192.jpg:A的進料莫耳流量,CA0:A的進料莫 耳濃度,V:反應器體積,v0進料體積流速。假設反應為一級反應,XA:A的莫耳分 率,且vo=定值,則τ與下列何式成正比?
(A)5f6ee2731d40c.jpg
(B)5f6ee288bea0d.jpg
(C)5f6ee29e39a29.jpg
(D)5f6ee2c993750.jpg

正確答案:登入後查看