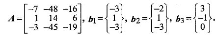
A is a linear-transformation matrix in the standard coordinate system.
If the coordinate system is changed to βcoordinate system,
to find the transformation matrix (called the β-matrix) relative to β for
the transformation x |-Ax, where β= {b1, b2, b3},

31.0, -1 are in the β-matrix.
(A) True.
(B) False.