阿摩線上測驗 登入

申論題資訊

試卷:110年 - 110 國立中央大學_碩士班招生考試_機械工程學系、機械工程學系(光機電工程)、能源工程研究所_(共同):工程數學#125285
科目:研究所、轉學考(插大)◆工程數學
年份:110年
排序:0

題組內容

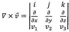
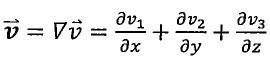
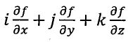
8. It is given grad f = ∇f = , div, and curl  =, where f and v1, v2 and v3 are the scalar functions of x, y and z.
(i) ∇ × (∇f) = 0   (2)
states "Gradient fields are irrotational. That is, if a continuously differentiable vector function is the gradient of a scalar function f, then its curl is a zero vector." 

(ii) ∇ ⋅ (∇ × v) = 0 (3)

states "the divergence of the curl of a twice continuously differentiable vector function v is zero.”

申論題內容

(a) (6%), (6%) Please first prove Equations (2) and (3), respectively