阿摩線上測驗
登入
首頁
>
奧林匹亞數學
>
102年 - 2013 年亞太數學奧林匹亞競賽-初選考試#82138
> 申論題
題組內容
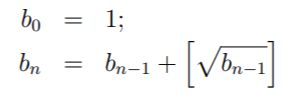
五、 數列 (b
0
, b
1
, . . .) 滿足下列遞迴關係:
, 對所有 n ≥ 1.
(b) (4分) 試問 b
543
=_____________ . (註: [x] 表示不超過 x 的最大整數。)
相關申論題
一、 (7分) 已知 O 是 正 4ABC 內一點, 滿足 ∠AOB : ∠BOC : ∠COA = 6 : 5 : 4. 現在以邊長 a = , b =, c = 做成一個新的三角形, 而此三角形邊 a, b 與 c 的對頂角分別為 α, β 與 γ. 則 α : β : γ = 1 : 2 : 3 . (化成最簡整數比。)
#333735
二、 (7分) 令函數 f 為正實數映射到實數, 且滿足下列條件: (i) f 是嚴格遞增函數; (ii) 對任意的正實數 x, 滿足不等式 (iii) 對所有的正實數 x, 滿足等式 = 1. 依照以上條件 f(2) = . (化成最簡分數。)
#333736
三、 (7分) 整數的數列 (a1, a2, . . .) 滿足下列關係式: , 對所有 n ≥ 3. 如果已知 a560 = 560 且 a1600 = 1600, 則 a2013 是 8 位數字; 而且 a2013 的個位數 字是 9 , 十位數字是 10 . (註: lcm(a, b) 與 gcd(a, b) 分別是 a, b 兩數字的最小公倍數與最大公因數。)
#333737
四、 (7分) 整數對 (x, y) 滿足等式 x 2 + x = y 4 + y 3 + y 2 + y. 請解出所可能的整數對 (x, y); 一共會有 n 對。 再考慮每一對的絕對值和 |x| + |y|, 令 m 為這數的極大值。 則 m + n = ____________ .
#333738
(a) (3分) 若 bk = 4096, 則 k = ____________ .
#333739
七、 (7分) 在平行四邊形 ABCD 中, AB = 8, ∆ABD 的外接圓半徑為 5. 試問: 對角線 AC 的最大值。 答
#332633
六、 (7分) 設三個不同的質數 a, b, c 滿足:a|(3b − c), b|(a − c), c|(2a − 7b), 20 < c < 80. 試問: a b c = ___________
#332632
五、 設 n (n ≥ 11) 是正整數。 由不大於 n 的連續 10 個正整數的和組成集合 A, 由不大 於 n 的連續 11 個正整數的和組成集合 B. 若 A ∩ B 的元素個數是 181. 試問: (i) (3分) n 的最小值為 __________, (ii) (4分) n 的最大值為_________.
#332631
四、 (7分) 已知 f(x) 是定義在實數上的函數。 若 f(0) = 0, 且對任意實數 x, 滿足 f(x + 4) − f(x) ≤ x 2 , f(x + 16) − f(x) ≥ 4x 2 + 48x + 224, 試問: f(64) = _____________.
#332630
三、 (7分) 設 an 是集合 {1, 2, · · · , n} (n ≥ 3) 中具有如下性質的子集的個數: 每個子集至少含有 2 個元素, 且每個子集中任意 2 個元素之差 (絕對值) 大於 1. 試問: a10 =____________
#332629
相關試卷
108年 - 2019 年亞太數學奧林匹亞競賽-初選考試#80979
108年 · #80979
107年 - 2018 年亞太數學奧林匹亞競賽-初選考試#80999
107年 · #80999
106年 - 2017 年亞太數學奧林匹亞競賽-初選考試#81668
106年 · #81668
104年 - 奧林匹克數學第28屆國一第一節#55402
104年 · #55402
102年 - 2013 年亞太數學奧林匹亞競賽-初選考試#82138
102年 · #82138