所屬科目:研究所、轉學考(插大)◆有機化學及無機化學
1. Which of the following radicals will be the most stable? (A) (B) (C) (D) (E)
2. What is the structural relationship between the two molecules below?(A) enantiomers (B) constitutional isomers (C) diastereomers (D) meso compounds (E) not isomers
3. Rank the following species in order of increasing nucleophilicity: (A) CH3CH2S- < CH3CH2O- < (CH3)3CO- < (CH3)3COH (B) (CH3)3COH < CH3CH2O- < (CH3)3CO- < CH3CH2S- (C) (CH3)3COH < CH3CH2S- < (CH3)3CO- < CH3CH2O- (D) (CH3)3COH < CH3CH2S- < CH3CH2O- < (CH3)3CO- (E) (CH3)3COH < (CH3)3CO- < CH3CH2O- < CH3CH2S-
4. The highest occupied molecular orbital of 1,3,5-hexatriene is: (A) (B) (C) (D)(E)
5. Which of the followings is/are nonaromatic? Structures shown: (A) 1 and 2 (B) 3 and 5 (C) 3 (D) 4 (E) 4 and 5
6. In electrophilic aromatic substitution reactions, a chloro group of benzene is (A) a deactivator and a m-director (B) an activator and a m-director (C) a deactivator and an o,p-director (D) an activator and an o,p-director (E) none of the above
7. The pKa of the most acidic hydrogen in 1,3-diketone is about (A) 5 (B) 9 (C) 14 (D) 19 (E) 21
8. Which of the following solvents is the most soluble in water? (A) Butan-1-ol (B) Dimethyl sulfoxide (C) Chloroform (D) Hexan-1-ol (E) Ethyl acetate
9. Which of the following structures is/are not carboxylic acid derivatives? (A) 1 (B) 2 (C) 2 and 3 (D) 3 (E) 4
10. Primary amine reacts with acetophenone to yield the (A) iminium salt (B) enamine (C) azetal (D) amide (E) imine
11. The occupancy of body center cubic structure is: (A) 48.3% (B) 52.4% (C) 68.0% (D) 74.1% (E) 87.4%
12. Which symmetry element is not present in a methane molecule? (A) C2 (B) i (C) C3 (D) σd (E) S4
13. What is the coordination number of Co2+ in a spinel Co3O4 structure? (A) 4 (B) 6 (C) 8 (D) 12 (E) None of the above
14. In a two dimensional lattice, which one of the following indices corresponds to the smallest density of lattice points? (A) (10) (B) (13) (C) (21) (D) (11) (E) (41)
15. What is the point group of 1,3,5,7-tetrafluorocyclooctatetraene? (A) Td (B) Dth (C) S8 (D) C4v (E) S4
16. Which of the following theory model can explain that nitrogen gas is diamagnetic and molecular oxygen is paramagnetic? (A) VSEPR (B) Lewis structure (C) molecular orbital (D) Le Chatelier's principle (E) Ligand field theory
17. How many isomers of diamminediaquadichlorocobalt(III)? (A) 6 (B) 8 (C) 10 (D) 12 (E) 16
18. What is the incorrect statement regarding p-n junction? (A) Charges flow in both two directions. (B) No charge is available at the depletion zone while no external potential is applied. (C) Forward bias results in a current flow. (D) p-n junction can be used for photovoltaic cells. (E) All of the above
19. How many IR-active CO stretching bands for fac-Mo(CO)3(CH3CH2CH2CH2NH3)? (A) None (B) 1 (C) 2 (D) 3 (E) 4
20. Titanium dioxide (TiO2) is a well-known photosensitive semiconductor for various photocatalysis. What is the incorrect statement regarding TiO2 materials? (A) The band gap corresponds to UV-light absorption. (B) Generally considered as n-type semiconductor. (C) Increased life time of separated photo-charges in TiO2 results in weaker photocatalytic activities. (D) A white color material. (E) It has two phases of anatase and rutile stable in ambient conditions.
21. The increased order of ν(CO) is observed in a series of the following compounds: Fe(CO)42- < Co(CO)4- < Ni(CO)4. Predict their frequency order of metal-carbon bonds, ν(M-C): (A) Fe(CO)42- < Co(CO)4- < Ni(CO)4 (B) Ni(CO)4 < Co(CO)4- < Fe(CO)42- (C) Fe(CO)42- < Ni(CO)4 < Co(CO)4- (D) Co(CO)4- < Fe(CO)42- < Ni(CO)4 (E) None of the above
22. Please select the most likely first-row transition metals (M) in the compound of [M(CO)2(PPh3)(η5-Cp)]Cl2? (A) Ni (B) Fe (C) Mn (D) Co (E) None of the above
23. Please predict the final product of the following reaction: trans-[Pt(Py)2(NH3)Cl]+ + Cl- → (A) trans-[Pt(Py)2Cl2] (B) cis-[Pt(Py)(NH3)Cl2] (C) trans-[Pt(Py)2(NH3)Cl]+ (D) trans-Pt(NH3)2Cl2 (E) None of the above
24. Which of the following statement regarding zeolite materials is correct? (A) possessing ion-exchange properties (B) aluminosilicate frameworks (C) molecular sieves (D) selective catalysts for industry (E) All of the above
25. The color of iodine varies in different solvents that act as bases, showing the shift of the electronic spectra. By referencing the color of gas-phase I2, which of the following solvent environment causes the biggest blue shift? (A) Benzene (B) Hexane (C) Methanol (D) Dodecane (E) Cyclohexane
(a)
(b)
(c)
(d)
(e)
(a) Hofmann elimination
(b) Claisen condensation
(c) Friedel-Crafts acylation
(d) Birch reduction
(e) Michael addition
(f)
(g)
(h)
(i)
(j)
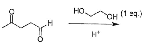
4. Draw reasonable mechanism for the following reaction. (5%)
5. How would you synthesize 3,5-dibromtoluene from toluene?
6. Please describe the diffraction equation of Bragg's law, and predict the changes of d spacing in a crystals if two theta decreases (under a fixed-wavelength X-ray irradiation)?
7. A natural MnO2 mineral has a mixed valence comprised of Mn3+ and Mn4+. The elemental analysis shows the presence of Mg, K, and Mn with a mole ratio of 2:1:32. Give the average oxidation state of Mn in this mineral.
(a) Give the IUPAC name of the following molecule
(b) Predict which compound of AgI and AgCl has higher solubility in water, and give a brief explanation.