阿摩線上測驗
登入
首頁
>
研究所、轉學考(插大)◆有機化學及無機化學
>
105年 - [無官方正解]105 國立中山大學_碩士班暨碩士專班招生考試_化學系:有機化學與無機化學#138560
> 申論題
題組內容
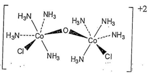
8. Please answer the following questions.
(a) Give the IUPAC name of the following molecule
相關申論題
(a)
#567242
(b)
#567243
(c)
#567244
(d)
#567245
(e)
#567246
(a) Hofmann elimination
#567247
(b) Claisen condensation
#567248
(c) Friedel-Crafts acylation
#567249
(d) Birch reduction
#567250
(e) Michael addition
#567251
相關試卷
115年 - [無官方正解]115 國立中山大學_碩士班考試入學招生考試試題_化學系:有機化學及無機化學#138420
115年 · #138420
114年 - [無官方正解]114 國立中山大學_碩士班考試入學招生考試試題_化學系:有機化學及無機化學#138439
114年 · #138439
113年 - 113 國立中山大學_碩士班暨碩士在職專班招生考試試題_化學系碩士班:有機化學及無機化學#119266
113年 · #119266
112年 - 112 國立中山大學碩士暨碩士專班招生考試_化學系碩士班:有機化學及無機化學#119263
112年 · #119263
111年 - 111 國立中山大學_碩士班暨碩士在職專班招生考試_化學系:有機化學及無機化學#126310
111年 · #126310
110年 - 110 國立中山大學碩士暨碩士專班招生考試_化學系碩士班:有機化學及無機化學#110464
110年 · #110464
109年 - [無官方正解]109 國立中山大學_碩士班考試入學招生考試試題_化學系:有機化學及無機化學#138499
109年 · #138499
108年 - [無官方正解]108 國立中山大學_碩士班考試入學招生考試試題_化學系:有機化學及無機化學#138538
108年 · #138538
107年 - [無官方正解]107 國立中山大學_碩士班考試入學招生考試試題_化學系:有機化學及無機化學#138542
107年 · #138542
105年 - [無官方正解]105 國立中山大學_碩士班暨碩士專班招生考試_化學系:有機化學與無機化學#138560
105年 · #138560