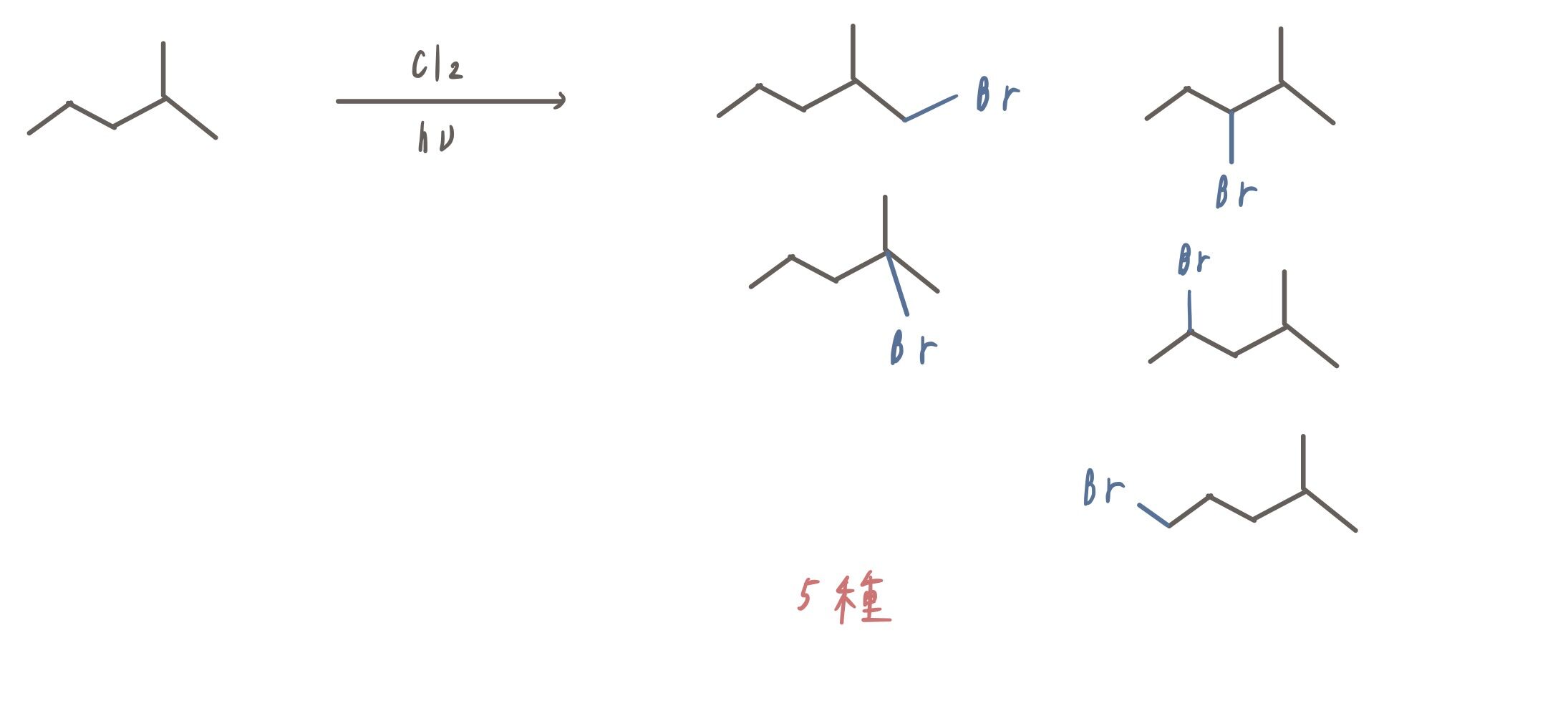
9. How many monochloro substituted products C6H13Cl you might obtain by reaction of 2-methylpentane with Cl2?
(A) 1
(B) 2
(C) 3
(D) 4
(E) 5
答案:登入後查看
統計: A(2), B(5), C(4), D(8), E(45) #2053806
統計: A(2), B(5), C(4), D(8), E(45) #2053806
詳解 (共 1 筆)
#7356626

0
0