阿摩線上測驗
登入
首頁
>
交通控制
> 【已刪除】101年 - 101 專技高考_交通工程技師:交通控制#26258
【已刪除】101年 - 101 專技高考_交通工程技師:交通控制#26258
科目:
交通控制 |
年份:
101年 |
選擇題數:
0 |
申論題數:
5
試卷資訊
所屬科目:
交通控制
選擇題 (0)
申論題 (5)
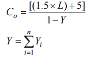
【已刪除】一、請根據下列獨立路口簡圖與表的路口資料設計一定時號誌(Pre-timed Signal),不 限設計方法,請自行假設不足資料,請詳列演算流程與計算步驟。(25 分) [參考資料]Webster 時制計算公式:
Yi:時相i中,最大流量對飽和流量的比值,i= 1,2,3…..n Y:Yi的總和 L:每一週期的總損失時間(秒) Co:最佳週期長度(秒)
【已刪除】二、請說明交通管理中心(Traffic Management Center, TMC)的任務與應具備的功能, 並請說明交通管理中心常見資料蒐集的方式與提供的服務。並請具體說明應如何評 估管理中心的績效。(25 分)
【已刪除】 ⑴匝道儀控可分成那些型式,優缺點為何?(10 分)
【已刪除】⑵交通感應式匝道儀控(traffic-responsive ramp metering)儀控率(metering rate) 如何決定?(15 分)
【已刪除】四、在人本交通的考慮下,尊重行人與自行車已是重要的課題,請列舉三項交通控制與 管理的措施來強化行人與自行車的安全,並請提出這些措施的評估方式。(25 分)