阿摩線上測驗
登入
首頁
>
工程數學(應用數學, 線性代數、微分方程、複變函數與機率)
> 【已刪除】102年 - 102 專技高考_電機工程技師:工程數學(包括線性代數、微分方程、複變函數與機率)#26008
【已刪除】102年 - 102 專技高考_電機工程技師:工程數學(包括線性代數、微分方程、複變函數與機率)#26008
科目:
工程數學(應用數學, 線性代數、微分方程、複變函數與機率) |
年份:
102年 |
選擇題數:
0 |
申論題數:
10
試卷資訊
所屬科目:
工程數學(應用數學, 線性代數、微分方程、複變函數與機率)
選擇題 (0)
申論題 (10)
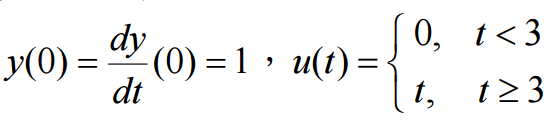
【已刪除】一、試解下列微分方程式:
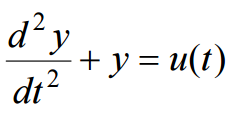
【已刪除】二、試求下列微分方程式的完全解:
,其中
(15 分)
【已刪除】⑴試求矩陣 A 的特徵值(eigenvalues)λ
1
、λ
2
、λ
3
。(5 分)
【已刪除】⑵試求矩陣 A 之特徵向量(eigenvectors) u
1
、u
2
、 u
3
。(5 分)
【已刪除】⑶使用 Gram-Schmidt process,試求u
1
、 u
2
、 u
3
對應之 v
1
、 v
2
、 v
3
,使得矩陣
P T = (orthogonal matrix),其中T 為轉秩(transpose)運算。 (10 分)
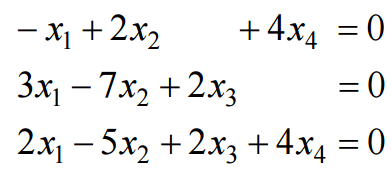
【已刪除】四、試求下列齊次聯立方程式(homogeneous linear system)之解集合空間(solution space)之維度(dimension)及一組基底(basis)。(10 分)
【已刪除】五、若z為複數(complex variables),試計算積分
,其中C為圓| z |= 2。 (15 分)
【已刪除】六、試計算積分值
(方法不拘)。(10 分)
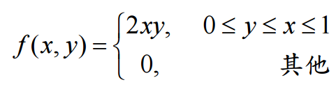
【已刪除】七、令 X 和 Y 代表某事件隨機變數(random variables),其聯合機率密度函數(joint probability distribution)如下:
試求 X 和 Y 的共變異值(covariance)。(10 分)
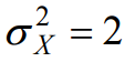
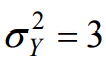
【已刪除】八、令 X 和 Y 代表某批產品兩種不同類型雜質數量的隨機變數(random variables)且 X 和 Y 互為獨立(independent)。已知 X 和 Y 的變異值(variance)各為
= 和
。試求隨機變數Z = 3X-2Y +1的變異值。(10 分)