阿摩線上測驗
登入
首頁
>
工程數學(應用數學, 線性代數、微分方程、複變函數與機率)
> 【已刪除】95年 - 95 警察特種考試_二等_刑事鑑識人員刑事物理組:工程數學#38436
【已刪除】95年 - 95 警察特種考試_二等_刑事鑑識人員刑事物理組:工程數學#38436
科目:
工程數學(應用數學, 線性代數、微分方程、複變函數與機率) |
年份:
95年 |
選擇題數:
0 |
申論題數:
7
試卷資訊
所屬科目:
工程數學(應用數學, 線性代數、微分方程、複變函數與機率)
選擇題 (0)
申論題 (7)
【已刪除】一、計算下列微分方程組的一般解x(t), y(t):(20 分)
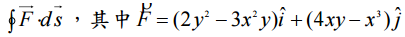
【已刪除】二、⑴計算下列環周積分:
,積分的路徑環 繞一圓 x
2
+ y
2
=4 。(10 分)
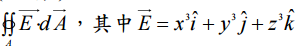
【已刪除】⑵計算下列通量積分:
,積分的表面 A為以原點為 球心,半徑為R的球面。(10 分)
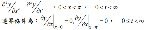
【已刪除】三、⑴計算下列偏微分方程式的一般解 y(x,t):
(10 分)
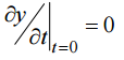
【已刪除】⑵若初始條件為:y(x,0 ) = cos
2
x ,
;0 ≤ x ≤ π ,計算其特別解。(10 分)
【已刪除】四、計算下列積分:
?(20 分)
【已刪除】五、計算下列微分方程式的解:
其中δ ( )t 為 Dirac delta 函數。(20 分)