阿摩線上測驗
登入
首頁
>
工程數學(應用數學, 線性代數、微分方程、複變函數與機率)
> 【已刪除】96年 - 96年高等一級暨二級醫學工程(二級)#38083
【已刪除】96年 - 96年高等一級暨二級醫學工程(二級)#38083
科目:
工程數學(應用數學, 線性代數、微分方程、複變函數與機率) |
年份:
96年 |
選擇題數:
0 |
申論題數:
8
試卷資訊
所屬科目:
工程數學(應用數學, 線性代數、微分方程、複變函數與機率)
選擇題 (0)
申論題 (8)
【已刪除】冒號之後接著等號,表示它是`規約'。
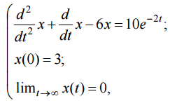
一、試解:(20 分)
【已刪除】 ⑴求出`靜止位置'( , ) 0 0 a b ,使得:這微分方程式有一個解是: 0 0 x(t) ≡ a , y(t) ≡ b 。
【已刪除】⑵那麼,改用 0 0 ξ := x − a ,η := y − b 做為變數,把原方程式改寫為: 其中 1 2 ∈ ,∈ 都是高次項。請寫出方陣 ⎥ ⎦ ⎤ ⎢ ⎣ ⎡ = 21 22 11 12 , , : c c c c C
【已刪除】⑶求 C 的固有值。(不用算固有向量。)
【已刪除】⑷如果這個方程組有一個解(x(t), y(t)),而初期位置(x(0), y(0))很接近( , ) 0 0 a b ,求: 當t → ∞時,(x(t), y(t))的極限。
【已刪除】三、考慮(`兩邊都是反射壁'的)熱傳導問題:(20 分) limt→0+ u(x,t) = a + B∗ x 0 。 請用(對於 x 的)Fourier(富利葉)展開式,表達這個解答u = u(x,t)。
【已刪除】四、對於兩個向量 b 1 = b i 2 + b j 3 + b k,與 c,我們用 b × c 表示其向量積,故其第一成分為: 2 3 3 2 b ∗ c − b ∗ c ,等等。(其中 i, j, k,是三軸上的單位向量。)今設a > b > c > 0為三 個常數,記常數向量 a= ai+ bj+ c k,再令:x= x i+ y j+ z k 為位置向量;於是可以 定義一個向量場 F 為:(20 分) F(x, y,z):=a × x; 現在在橢球面 上,用 n 表示單位法向(向外),d A 表示`微分面積',試計算 ∫∫n × F d A。
【已刪除】五、計算∫ (20 分)