阿摩線上測驗
登入
首頁
>
工程數學(應用數學, 線性代數、微分方程、複變函數與機率)
> 【已刪除】97年 - 97 地方政府特種考試_三等_電力工程、電子工程:工程數學#37154
【已刪除】97年 - 97 地方政府特種考試_三等_電力工程、電子工程:工程數學#37154
科目:
工程數學(應用數學, 線性代數、微分方程、複變函數與機率) |
年份:
97年 |
選擇題數:
20 |
申論題數:
5
試卷資訊
所屬科目:
工程數學(應用數學, 線性代數、微分方程、複變函數與機率)
選擇題 (20)
【已刪除】1 下列何者為微分方程式y
(5)
-3y
(4)
+3y'''-y'' = 0 的一般解?
【已刪除】2 下列何者不是恰當(exact)微分方程式?
【已刪除】3 一個溫度計現在顯示 5℃,把它放入一個 22℃的房間內,一分鐘後溫度計顯示為 12℃,則需要多久後,溫度計顯示 為 22℃左右? (A) 9.68 mins (B) 22.82 mins (C) 17.64 mins (D) 11.36 mins
【已刪除】4 下列何者為4xdy − ydx = x
2
dy 之解? (A)(x-4)y = cx (B)(x-4)y
2
= cx (C)(x-4)y
3
= cx (D)(x-4)y
4
= cx
【已刪除】5 純量函數 f (x, y, z) = xyz 在點 P(-1,1,3)上,於向量
方向之方向導數(directional derivative)為何? (A) 11 (B)
(C) 3 7 (D)
【已刪除】6 下列何者是純量場φ(x, y, z)= x
2
+2y
2
+2yz於位置(1, 0,-1)之最陡降(steepest descend)方向? (A)(-2, 0,-2)
T
(B)(-1, 1, 0)
T
(C)(2,-2, 0)
T
(D)(1, 0, 0)
【已刪除】7 求
,C表在z = 2 平面上的單位圓。 (A) 2π (B) 4π (C) 5π (D) 6π
【已刪除】8 下列線積分中,何者與積分路徑無關?
(A) 2xy
2
dx + xydy + dz (B) sinh xz(zdx − xdz) (C) ye
2z
dy − ze
y
dz (D)− zsin xzdx + cos ydy − xsin xzdz
【已刪除】9 假設
,則e
A
=?
【已刪除】10 矩陣
的秩(rank)等於多少? ⎟ (A) 1 (B) 2 (C) 3 (D) 4
【已刪除】11 令λ
1
,λ
2
,λ
3
,λ
4
為矩陣
之四個特徵值,則λ
1
+λ
2
+λ
3
+λ
4
+λ
1
λ
2
λ
3
λ
4
等於多少? (A) 0 (B) 1 (C) 4 (D) 16
【已刪除】12 已知
的特徵值多項式為P(λ)=-1+3λ-3λ
2
+λ
3
,則P(A)=? (A) 1 (B)-1 (C) 3 (D) 0
【已刪除】13 若u(t)表示單位步階函數(unit step function),則函數 f (t) = 2u(t) − 2u(t − π) + u(t − 2π)sint 的拉式轉換(Laplace transform) 為何?
【已刪除】14 設A, B, P皆為n階方陣,且P可逆。令B = P
-1
AP,則下列敘述何者錯誤? (A) A 與 B 的特徵值皆相同 (B) A 與 B 的行列式相同 (C) A 與 B 的秩(rank)相同 (D) A 與 B 皆可對角化
【已刪除】15 試求函數
的逆拉式轉換(inverse Laplace transform)。
【已刪除】16 有一個週期為 6 的函數 f (x),其在 x∈(1,7)內之函數值為
,下列何者是該函數的傅立葉級數?
【已刪除】17 級數
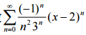
的收斂半徑(radius of convergence)為何? (A) 1 (B) 2 (C) 3 (D)∞
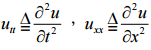
【已刪除】18 有一振動方程式u
tt
= c
2
u
xx
,其中
,若將其自變數 t, x 變換為 v=x+ct,z=x-ct,則可將原偏微分方 程式轉換為: (A)u
vv
= u
zz
(B)u
vv
= u
z
(C)u
zz
= u
v
(D)u
vz
= 0
【已刪除】19 z 是一個複數(complex number),z = x+iy,x 與 y 皆為實數,則下列敘述何者正確? (A) 0 ≤ | sin z | ≤ 1 (B)| sin z | ≤ | sin x | (C)| cosh z | ≤ cosh x (D)| cosh z | ≤ | sinh x |
【已刪除】20 設x為連續隨機變數,其機率密度函數為f (x)=e
-|x|
/2,-∞< x <∞,求其Moment-generating function E( e
tx
),| t | < 1。 (A) 1-t
3
(B) 1-t
2
(C) 1-t (D) 1/ (1-t
2
)
申論題 (5)
【已刪除】一、求解 sinθ+sin3θ +sin5θ +…+sin[(2n-1)θ ]=?(10 分)
【已刪除】⑴ f (x)定義於[-1, 1]的傅氏級數(Fourier series)(10 分)
【已刪除】⑵
(5 分)
【已刪除】三、試利用拉氏轉換(Laplace transform)方法求解
(10 分)
【已刪除】四、求解
。(15 分)
相關試卷
114年 - 114 專技高考_電機工程技師:工程數學(包括線性代數、微分方程、複變函數與機率)#133679
114年 · #133679
114年 - 114 專技高考_電子工程技師:工程數學(包括線性代數、微分方程、向量分析、複變函數與機率)#133677
114年 · #133677
114年 - 114 調查特種考試_三等_電子科學組:工程數學#129578
114年 · #129578
114年 - 114 國家安全情報特種考試_三等_電子組(選試英文):工程數學#127780
114年 · #127780
113年 - 113 專技高考_電子工程技師:工程數學(包括線性代數、微分方程、向量分析、複變函數與機率)#123976
113年 · #123976
113年 - 113 專技高考_電機工程技師:工程數學(包括線性代數、微分方程、複變函數與機率)#123971
113年 · #123971
113年 - 113 調查特種考試_三等_電子科學組:工程數學#122110
113年 · #122110
113年 - 113 身心障礙特種考試_三等_電力工程:工程數學#119517
113年 · #119517
112年 - 112 地方政府特種考試_三等_電力工程、電子工程:工程數學#118376
112年 · #118376
112年 - 112 專技高考_電機工程技師:工程數學(包括線性代數、微分方程、複變函數與機率)#117639
112年 · #117639