阿摩線上測驗
登入
首頁
>
測量學(概要、大意)
> 【已刪除】97年 - 97 鐵路、公路特種考試_員級_土木工程:測量學概要#49196
【已刪除】97年 - 97 鐵路、公路特種考試_員級_土木工程:測量學概要#49196
科目:
測量學(概要、大意) |
年份:
97年 |
選擇題數:
0 |
申論題數:
8
試卷資訊
所屬科目:
測量學(概要、大意)
選擇題 (0)
申論題 (8)
【已刪除】一、圖一與圖二為兩已對應之數值影像資料,「邏輯且(AND)」處理這兩項資料之結 果為何?「邏輯或(OR)」處理這兩項資料之結果為何?(20 分)
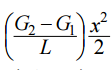
【已刪除】二、設某一段道路工程需設立豎曲線,使用的線型為二次拋物線 y =
+ G
1
x + H
D
, 其中 y 為高程值,x 為豎曲線任一點至其起點之水平長度,L 為豎曲線的總水平長度, 其起點為 D,起點高程為 H
D
且坡度為 G
1
;終點為 E,終點高程為 H
E
且坡度為 G
2
,如下 圖所示。若 L = 100 m、H
D
= 5 m、G
1
= 5%且 G
2
= -3%,請計算 HE 及曲線最高點之高程及 x 坐標。(20 分)
【已刪除】三、試述附合導線測量成果應滿足那兩個閉合條件?(20 分)
【已刪除】⑴ A 到 B 之方位角。(10 分)
【已刪除】 ⑵ A 到 B 之垂直角。(10 分)
【已刪除】 ⑴試以二倍中誤差(2σ)考慮偵測錯誤之觀測量,並敘明理由。(8 分)
【已刪除】 ⑵剔除該錯誤量後,該角度“秒”值之“最或是值”為何?(6 分)
【已刪除】 ⑶求該“最或是值”之中誤差(標準誤差)。(6 分)