阿摩線上測驗
登入
首頁
>
工程數學(應用數學, 線性代數、微分方程、複變函數與機率)
> 【已刪除】98年 - 98 國家安全情報特種考試_三等_電子組:工程數學#38074
【已刪除】98年 - 98 國家安全情報特種考試_三等_電子組:工程數學#38074
科目:
工程數學(應用數學, 線性代數、微分方程、複變函數與機率) |
年份:
98年 |
選擇題數:
20 |
申論題數:
6
試卷資訊
所屬科目:
工程數學(應用數學, 線性代數、微分方程、複變函數與機率)
選擇題 (20)
【已刪除】1 下列何者為微分方程式 yy′′ = 2( y′) 2的解? (A)ln(c
1
x + c
2
) (B)(c
1
x + c
2
)
−1
(C)e
x+c
(D) [ln( cx + c
2
)]
−1
【已刪除】2 令 c 是從(1,1,1)到(0,1,3)的直線線段,則∫
c
xzdx- cos( yz)dy+ xydz 等於多少?
【已刪除】3 下列何者是微分方程式 y′ + y = x / y的解,其中 c 為任意實數? (A) y = x
2
− 0.5 (B) y
2
= ce
−2x
+ x − 0.5 (C) y = ce
−2x
+ x − 0.5 (D) y
2
= x − 0.5 + y
【已刪除】4 下列何者矩陣是列梯型(row echelon form)?
【已刪除】5 下列向量場
中,何者無旋量
,且散度(divergence)最小?
【已刪除】6 設
;若a+b=c+d 且
是 A 的一個特徵向量(eigenvector),則 A 的特徵值(eigenvalues) 為何?(A)λ
1
= a + b, λ
2
= d − b (B) λ
1
= a + b, λ
2
= d − c , C)λ
1
= a + b, λ
2
= c + d (D)λ
1
= a + b, λ
2
= c − d
【已刪除】7 令矩陣
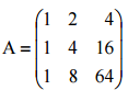
,則行列式|A| 等於? (A) 12 (B) 24 (C) 36 (D) 48
【已刪除】8 令
,則 f (1)等於多少? (A) 1 (B)1− 2e
−1
(C)
(D) 1 + e
−1
【已刪除】9 設u(t) 為單位步階函數,則以下何者為此迴旋積(convolution)u(t − 3)*e
−2t
的結果? (A)0.5(1− e
−2(t−3)
)u(t − 3) (B)0.5(1− e
−3(t−3)
)u(t − 3)(C)0.5(1− e3
(t−3)
)u(t − 3)(D)0.5(1− e
2(t−3)
)u(t − 3)
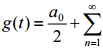
【已刪除】10 f (t) 是週期為2π 的函數,定義 g(t) 為 g(t) = ( f (t) + f (−t))/ 2 ,將 g(t) 的傅立葉級數(Fourier series)表示成
(a
n
cos(nt)+b
n
sin(nt))。下列敘述何者正確? (A)a
0
= 0 (B)a
0
≠ 0 (C)a
n
= 0, n =1,2,3,L (D)b
n
= 0, n =1,2,3,...
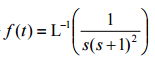
【已刪除】11 若 f (t)的拉式轉換(Laplace transform)為
?
【已刪除】12 下列何者為奇函數? (A) f (x) = x
4
(B) f (x) = cos x (C) f (x) = e
x
+ e
−x
(D) f (x) = tan 3x
【已刪除】13 週期為2 π 的週期性函數
,其傅立葉級數表示成
,則 下列何者正確?
【已刪除】14 將
化簡成單一級數表示,則下列何者正確?
【已刪除】15 求∫
c
(12z
2
-4iz)dz− 之值,其中 C 為連結 與 之曲線,而 y=x
3
-3x
2
+4x+1: (A)−150 + 30i (B)−156 + 38i (C)−150 + 38i (D)−158 + 30i
【已刪除】16 計算
?
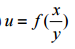
【已刪除】17 令u = u(x, y),f 為任意連續二次可微分函數,下列何者滿足偏微分方程式u
xy
= u
yy
? (A)u = f (xy) (B)u = f (x + y) (C)u = f (x − y) (D)
【已刪除】18 設 x 為連續隨機變數,其機率密度函數為f(x) =e
-|x|
/ 2, -∞
【已刪除】19 在某一個車站,公車到站的時間是隨意分布在上午 10 點到 10 點 50 分之間。一個乘客在上午 9 點 55 分抵達 車站,則這個乘客至少還要等 20 分鐘才會有公車到站的機率為何? (A) 0.30 (B) 0.40 (C) 0.60 (D) 0.70
【已刪除】20 假設 x、y 是獨立隨機變數,機率密度函數各為
, 若 z=xy ,則期 望值E(z)為: (A)8/ 2 (B)8/ 3 (C)8/ 4 (D)8/ 5
申論題 (6)
【已刪除】一、設
。(10 分)
【已刪除】⑴試求該圓盤上某點p(x, y,2)相對於原點之瞬時速度(velocity)
。(利用公式:
, 其中
為圓盤角速度,
為 p 點之位置向量。)(5 分)
【已刪除】⑵試求向量場
之旋度(curl)。(5 分)
【已刪除】三、求
反矩陣。(10 分)
【已刪除】⑴ f (x)定義於[−π , π ]的傅氏級數(Fourier series)。(10 分)
【已刪除】⑵sin(x) + x cos(x)定義於[−π , π ]的傅氏級數(Fourier series)。(10 分)