阿摩線上測驗
登入
首頁
> 【已刪除】99年 - 099年第一次藥理學與藥物化學更正#47398
【已刪除】99年 - 099年第一次藥理學與藥物化學更正#47398
|
年份:
99年 |
選擇題數:
80 |
申論題數:
0
試卷資訊
選擇題 (80)
【已刪除】 1 下列何藥物作用之受體(receptor)屬於 tyrosine kinase receptor? (A) Insulin (B) Estrogen (C) GABA (D) Glucagon
【已刪除】 2 下列有關藥物結合之敘述,何者錯誤? (A)大部份藥物會與血中白蛋白結合 (B)血中 α1-acid glycoprotein 會與鹼性藥結合 (C)血漿蛋白與藥物之結合是一種飽和之線性過程 (D)脂肪是一脂溶性藥物之儲庫
【已刪除】 3 有一病人服用鋰鹽 1200 mg 後,其血中濃度為 0.6 meq/L,若希望達到之血中濃度為 1.0 meq/L,應提 高服用劑量至多少 mg? (A) 1215 (B) 1920 (C) 2000 (D) 3000
【已刪除】 4 下列有關 Oseltamivir 的敘述,何者錯誤? (A)是一種神經胺酸酶(neuraminidase)的抑制劑 (B)必須於受病毒感染症狀出現 48 小時內服用效果較佳 (C)是一種吸入型製劑,有呼吸道疾病患者易引起氣管痙攣 (D)可用於治療流行性感冒病毒 A 和 B 型
【已刪除】 5 治療腸道及陰道原蟲可使用: (A) metronidazole (B) mefloquine (C) nifurtimox (D) melarsoprol
【已刪除】 6 下列有關頭孢子菌素抗生素之敘述,何者錯誤? (A)第一代之 Cefazolin 不易穿過血液-腦屏障者 (B)一般而言,第二代之頭孢子菌素抗生素對革蘭氏陽性菌之藥效比第一代的差 (C)第二代之頭孢子菌素肌肉注射很痛,一般很少採用 (D) Cefuroxime 是第二代之頭孢子菌素抗生素中惟一無法進入中樞者
【已刪除】 7 下列那一組的藥物,臨床上的併用不會引起協同作用? (A) Penicillins : Aminoglycosides (B) Aminoglycosides : Cephalosporins (C) Amphotericin B : Flucytosine (D) Caspofungin : Cyclosporin
【已刪除】 8 下列抗生素中,何者臨床上常用於疱疹、HIV 及巨細胞病毒(cytomegalovirus)之治療,尤其患者已 對 acyclovir 或 ganciclovir 產生抗藥性時? (A) Foscarnet (B) Bacitracin (C) Zidovudine (D) Griseofulvin
【已刪除】
複選題
9 下列何抗生素不會影響細菌細胞壁之合成? (A) Cycloserine (B) Bacitracin (C) Fluconazole (D) Nystatin
【已刪除】10 下列何者是 Colestipol 之主要作用機轉? (A)抑制膽固醇之合成 (B)抑制三酸甘油酯之合成 (C)促進三酸甘油酯之分解 (D)促進膽酸之排除
【已刪除】11 下列有關 Erythropoietin 之敘述,何者錯誤? (A)主要由骨髓細胞產生 (B)使用後會使血球容積(hematocrit)增加 (C)屬於國際奧林比克運動會禁藥之一 (D)其副作用包括高血壓代號:1103頁次:8-2
【已刪除】12 併用下列何藥會降低 Warfarin 之抗凝血作用? (A) Amiodarone (B) Heparin (C) Metronidazole (D) Rifampin
【已刪除】13 下列何種藥物不用於治療類風濕性關節炎? (A) Azathioprine (B) Cyclosporin (C) Mycophenolate mofetil (D) Thalidomide
【已刪除】14 下列有關 Vasopressin 之敘述,何者錯誤? (A)由腦下垂體後葉釋放 (B)有抗利尿與升壓作用 (C)缺乏時有尿量減少 (D)口服吸收差
【已刪除】15 Clomiphene 之用途為: (A)抗高血壓 (B)抗心絞痛 (C)抗糖尿病 (D)抗不孕症
【已刪除】16 具有先天性腎上腺增殖之高危險群性懷孕者,為保護胎兒免於發生生殖器之不正常,常須投與: (A) Dexamethasone (B) Methimazole (C) Metyrapone (D) Tolbutamide
【已刪除】17 下列那一種降壓藥物最不會導致反射性心跳加速,而使缺血性心臟病情加重? (A) Captopril (B) Prazosin (C) Nifedipine (D) Hydralazine
【已刪除】18 下列那一種藥物可同時使靜脈血液流回心臟之血流量減少,並且延緩 AV Node 之傳導速率,因此可 用於抑制 Atrial flutter 及減少心衰竭之肺部充血症狀? (A) Digoxin (B) Nitroglycerin (C) Hydralazine (D) Atenolol
【已刪除】19 有一高血壓病人同時患有青光眼,則下列那一種藥物要避免使用? (A) Atenolol (B) Acetazolamide (C) Fenoldopam (D) Enalapril
【已刪除】20 下列何種抗心絞痛藥物對穩定型心絞痛病人(Stable angina)長期投與時,有最好的改善效果且能增 加存活率? (A) Nifedipine (B) Verapamil (C) Diltiazem (D) Timolol
【已刪除】21 那一種藥物可使內臟動脈血管收縮,而減少門靜脈高壓所引起之食道內靜脈出血? (A) Aldosterone (B) Acetazolamide (C) Hydrochlorothiazide (D) Vasopressin
【已刪除】22 Thiazide 類利尿劑在腎小管最主要作用的位置為: (A) Proximal tubule (B) Thick ascending limb of Henle’s loop (C) Distal convoluted tubule (D) Collecting duct
【已刪除】23 下列何種藥物可用於診斷或治療病人之嗜鉻性細胞瘤(pheochromocytoma)? (A) Phenylephrine (B) Phentolamine (C) Fenoterol (D) Metaproterenol
【已刪除】24 擬副交感神經藥物作用於 M2-muscarinic receptors 會產生下列何種反應? (A) cAMP stimulation (B) cGMP stimulation (C) K+ channels activation (D) Ca2+ channels activation
【已刪除】25 下列何種藥物當眼睛局部給藥時不會造成睫狀肌麻痺(cycloplegia)作用? (A) Atropine (B) Tropicamide (C) Physostigmine (D) Scopolamine
【已刪除】26 下列何種 β-adrenoceptor antagonist 會抑制鉀離子通道而延長動作電位持續期間? (A) Celiprolol (B) Betaxolol (C) Propranolol (D) Sotalol
【已刪除】27 下列用於氣喘病之藥物,何者會有口部與喉嚨感染念珠菌症之副作用? (A) Albuterol (B) Budesonide (C) Cromolyn sodium (D) Theophylline
【已刪除】28 下列何藥不會促進胃排空? (A) Cisapride (B) Domperidone (C) Metoclopramide (D) Ranitidine
【已刪除】29 下列有關 histamine 的敘述,何者錯誤? (A)組織胺主要儲存於肥大細胞(mast cell)及嗜鹼性球(basophils) (B)是一種神經傳遞物質(neurotransmitter) (C)肥大細胞會很快的補充所排空的組織胺 (D)可以活化 phosphatidylinositol cycle
【已刪除】30 下列何種藥物不適合用於解除偏頭痛的症狀? (A) Granisetron (B) Acetaminophen (C) Sumatriptan (D) Methysergide
【已刪除】31 下列關於 Angiotensin converting enzyme 的敘述,何者錯誤? (A)可以將 bradykinin 轉換為不活性物質 (B)存在血管的內皮細胞 (C)可被 saralasin 所拮抗 (D)是一種 dipeptidase
【已刪除】32 下列有關大麻物質的敘述,何者錯誤? (A) Dronabinol 具有降低化療病人噁心及嘔吐的作用 (B)△
9
-Tetrahydrocannabinol 為大麻植物中主要具生物活性的物質 (C)生物體腦內具有內生性的大麻物質 (D)大麻受體為一種離子型通道
【已刪除】33 下列有關鎮靜-催眠(sedative-hypnotic)類藥物作用之敘述,何者錯誤? (A) Phenobarbital 會促進肝臟微粒體酵素(microsomal enzyme)的活性,進而增加體內其他藥物之 代謝 (B) Desmethyldiazepam 為 Clorazepate 的活性代謝產物 (C)高濃度的 Benzodiazepine 類藥物可以直接活化 GABAA 受體 (D) Phenobarbital 可以用於治療小兒熱性痙攣(fever convulsion)
【已刪除】34 下列有關 Amphetamine 衍生物 Methylphenidate 的敘述,何者錯誤? (A)可以用來治療發作性睡病(Narcolepsy) (B)可以用來改善注意力不集中症候群(Attention deficit syndrome) (C)可以增加食慾 (D)不可以使用於心血管疾病的病人
【已刪除】35 下列那一種 Benzodiazepines 在長期使用後停藥,最容易引起反彈性失眠? (A) Diazepam (B) Triazolam (C) Temazepam (D) Flurazepam
【已刪除】36 下列何種抗焦慮藥(anxiolytic)沒有明顯的鎮靜、安眠作用,不直接作用在 GABA 受體? (A) Zolpidem (B) Buspirone (C) Zaleplon (D) Diazepam
【已刪除】37 下列那一類的患者服用 Chlorpromazine 時會加重其病情? (A)精神分裂症(Schizophrenia) (B)帕金森氏症(Parkinson’s disease) (C)躁鬱症(Mania) (D)焦慮症(Anxiety)
【已刪除】38 下列何種因素會降低吸入性全身性麻醉劑的誘導速率? (A)增加吸入性氣體中藥物濃度比例 (B)增加麻醉藥物血中溶解度 (C)增加肺泡換氣速率 (D)降低心輸出量
【已刪除】39 下列有關正向異位性調節者(positive allosteric modulator)作用之敘述,何者錯誤? (A) Flumazenil 為典型 GABAA 受體的正向異位性調節者 (B)正向異位性調節者其本身不具備作用劑(agonist)的功能 (C)正向異位性調節者可以加強內生性作用劑之藥理作用 (D) Benzodiazepines 類的藥物為典型 GABAA 受體的正向異位性調節者
【已刪除】40 關於基因治療時作為基因載體(Vector)之反轉錄病毒(Retrovirus)之特性,下列敘述何者錯誤? (A)此病毒為 small RNA virus (B)以此病毒為載體送入細胞之基因,其表現時間較短暫 (C)利用此病毒作載體,其送入細胞之基因的複製隨細胞分裂而增加 (D)以此病毒為載體常以 ex vivo 之方式先在體外將基因送入培養之人體細胞,然後再將此人體細胞送 入人體以治療疾病
【已刪除】41 麻醉藥 propofol 之主要代謝途徑為: (A) acetylation (B) conjugation (C) epoxidation (D) demethylation
【已刪除】42 下列何者不是安非他命的主要氧化代謝途徑? (A) α-hydroxylation (B) p-hydroxylation (C) N-hydroxylation (D) N-demethylation
【已刪除】43 下列各種藥物與其體內代謝物的配對中 那一配對的藥物與代謝物均具有藥效 且最終代謝物為 nitric , , oxide? (A) Imipramine ; desimipramine (B) Meperidine ; normeperidine (C) Methadone ; normethadone (D) Molsidomine ; linsodimine
【已刪除】
複選題
44 下列化學結構中,何者最會影響傳送局部麻醉劑至細胞膜之因素? (A) Lipophilic center (B) Ester (C) Bridging unit (D) Hydrophilic center
【已刪除】45 Bitolterol 為何種藥物之 prodrug? (A) Propranolol (B) Albuterol (C) Pirbuterol (D) Colterol
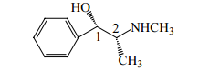
【已刪除】46 下列有關化學式立體化學的敘述,何者正確?
(A)為(1S, 2S)組態 (B)為(1R, 2R)組態 (C)為(1S, 2R)組態 (D)為(1R, 2S)組態
【已刪除】47 將下列結構藥物製成水溶性鹽類後,何者不適宜作為注射劑使用? (A)
(B)
C)
(D)
【已刪除】48 下列何種安眠藥物具有活性代謝物? (A) estazolam (B) flurazepam (C) temazepam (D) triazolam
【已刪除】49 下列何者俗稱“crack"? (A)
(B)
(C)
(D)
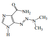
【已刪除】50 右列化合物 X 是一種:
(A) GABA
A
agonist (B)GABA
A
antagonist (C) GABA
B
agonist (D) GABA transporter inhibitor
【已刪除】51 在嗎啡結構中的那一位置導入 hydroxyl(-OH)基團,會增加止痛活性? (A) 7α (B) 15β (C) 14β (D) 9α
【已刪除】52 下列 opioids 中,何者是最強之 µ 受器拮抗劑(µ-antagonist)? (A)
(B)
(C)
(D)
【已刪除】53 下列何者為可逆的 MAO 抑制劑? (A)
(B)
(C)
(D)
【已刪除】54 下列何者為 benzodiazepine receptor(BZR)antagonist? (A)
(B)
(C)
(D)
【已刪除】55 下列何者不是化合物 X 的活性代謝物(active metabolite)?
(A)
(B)
(C)
(D)
【已刪除】56 下列何者較適合老年人或肝功能不佳的患者使用? (A)
(B)
(C)
(D)
【已刪除】57 化合物 X 最可能經由抑制下列何者而產生 reinforcing 以及 stimulant 的作用?
(A) dopamine transporter (B) D
1
receptor (C) D
2
receptor (D) D
3
receptor
【已刪除】58 Clonidine,guanabenz 與 guanfacine 均為中樞作用之降壓藥,其共同之主要代謝途徑為何? (A) aromatic hydroxylation (B) reduction (C) hydrolysis (D) conjugation
【已刪除】59 下列有關 quinidine 之敘述,何者錯誤? (A)結構中 quinoline 環與 quinuclidine 環之間以 hydroxymethyl 基團連接 (B)結構中 quinoline 環上氮原子之鹼性比 quinuclidine 環上氮原子之鹼性強 (C)在肝臟中主要進行 hydroxylation 代謝 (D)結構中有一個二級醇官能基
【已刪除】60 下列有關 sodium nitroprusside 之敘述,何者正確? (A)結構中除了 Na 以外,還含有 Zn (B)結構中有 4 個 CN 基團 (C)降壓作用來自藥物代謝產生之 NO(nitric oxide) (D)結構中含有 pyrimidine 雜環
【已刪除】61 下列那一個化合物的結構特徵為 phthalimidine(或 1-oxo-isoindoline)? (A) Quinethazone (B) Methazolamide (C) Dichlorphenamide (D) Chlorthalidone
【已刪除】62 Angiotensin I 被 ACE 水解成 angiotensin II 的部位,係在下列那兩個胺基酸? (A) ASP-ARG (B) PHE-HIS (C) ILE-HIS (D) PRO-PHE
【已刪除】63 口服降血糖藥 glimepiride,屬於下列何類衍生物? (A) Benzoic acid (B) Biguanide (C) Sulfonylurea (D) Thiazolidinedione
【已刪除】64 下列何種藥物屬於 dual PPARα 和 PPARγ coactivator? (A) Tolazamide (B) Glipizide (C) Pioglitazone (D) Muraglitazar代號:1103頁次:8-8
【已刪除】65 下列何藥能抑制 purinergic 受體,產生抗血栓作用? (A) Becaplermin (B) Clopidogrel (C) Dipyridamole (D) Nisoldipine
【已刪除】66 Lynestrenol 具有強效黃體激素樣活性(progestational activity),其結構之基本骨架屬於下列何者? (A) 5α-androstane (B) 5α-cholestane (C) 5α-estrane (D) 5α-pregnane
【已刪除】67 下列何者為強力抗胃酸分泌作用之 PGE
1
類似物(analog)? (A) Misoprostol (B) Latanoprost (C) Unoprostone (D) Carboprost tromethamine
【已刪除】68 Fexofenadine 係由 terfenadine 經何種代謝作用所產生? (A)水解 (B)氧化 (C)還原 (D)甲基化
【已刪除】69 Esomeprazole 屬於下列何種結構衍生物? (A) 4-Methylimidazole (B) Prostaglandin (C) Sulfinylbenzimidazole (D) Sucrose
【已刪除】70 PGH2 經 PG endoperoxide reductase 作用會形成下列何者? (A) PGE2 (B) PGF2α (C) PGD2 (D) TXA2
【已刪除】71 下列有關 vidarabine 之敘述,何項錯誤? (A)不須活化為 triphosphate 衍生物,即具抗病毒活性 (B)主要代謝產物為 arabinosyl hypoxanthine(ara-HX) (C)為 adenosine nucleoside (D) Allopurinol 會干擾此藥物之代謝
【已刪除】72 Sisomicin 加入那一官能基可得到 netilmicin? (A)甲基(methyl group) (B)乙基(ethyl group) (C)氫氧基(hydroxy group) (D)胺基(amino group)
【已刪除】73 下列何者活化後的產物可使 DNA 產生甲基化,而產生抗癌作用? (A)
(B)
(C)
(D)
【已刪除】
複選題
74 下列何種抗癌藥物在體內會產生 superoxide radical anion? (A) Doxorubicin (B) Dactinomycin (C) Mitomycin C (D) Mitoxantrone
【已刪除】75 抗慢性 B 型肝炎藥 lamivudine 結構上的鹼基是: (A) Adenine (B) Cytosine (C) Guanine (D) Uracil
【已刪除】76 下列有關 haloprogin 之敘述,何者錯誤? (A)含有溴原子 (B)只局部應用 (C)對光敏感 (D)干擾 DNA 合成及細胞呼吸
【已刪除】77 5-Fluorouracil 能與 thymidylate synthetase 及那一種 coenzyme 形成共價鍵? (A) 5-formyltetrahydrofolic acid (B) 10-formyltetrahydrofolic acid (C) 5,10-methylenetetrahydrofolic acid (D) 5,10-methenyltetrahydrofolic acid
【已刪除】78 下列抗癌藥中,屬於 aryl nitrogen mustard,化性較穩定,可口服給藥者為: (A) Busulfan (B) Chlorambucil (C) Lomustine (D) Mechlorethamine
【已刪除】79 下列何者屬 anthracycline glycoside 構造之抗生素? (A) bleomycin (B) daunorubicin (C) streptozocin (D) tetracycline
【已刪除】80 下列何種抗癌藥物具有 piperidine 之結構? (A) Etoposide (B) Teniposide (C) Topotecan (D) Irinotecan
申論題 (0)