所屬科目:預官&軍人◆智力測驗
51. 有一工作,甲獨做需 12 天,乙獨做需 18 天,丙獨做需 24 天,今乙先獨做一半工程,甲、丙兩人再合作完成剩下的另一半工程,則請問共需多少日才能完成這個工程?(A)9(B)8(C)7(D)13 日。
52. 某一銀行存款一年可得利息 12%,若存了 600 元 3 個月,則可獲得利息多少錢?(A)18(B)180(C)618(D)624 元。
53. 甲地到乙地共距離 100 公里,一人自甲地騎車 40 公里,再步行 15 公里,然後度過湖後即到達了乙地,請問這個湖寬多少?(A)35(B)45(C)55(D)65 公里。
54. 有一學生數學考試時看錯一數學數字,將小數點向左移了一位數,而得到另一新數,原數與新數的和為 13.53,則請問原數應為多少?(A)13.3(B)12.5(C)11.3(D)12.3。
55. 含鹽 4% 之海水 6 公斤,經蒸發出水 1 公斤後,含鹽變為多少 %?(A)3.3(B)4.5(C)4.8(D)5
56. P(0.8),Q(6.4),請問通過 X 軸上的哪一點?(A)(6.0)(B)(8.0)(C)(12.0)(D)(0.12)。
57. 學生 40 人參加考試,英文及格的有 10 人,數學及格的有 26 人,全部都不及格的有 6人,請問全部都及格的有幾人?(A)2(B)3(C)6(D)10。
58. 某晝比夜長 1 時 40 分,問夜有多長?(A)11 小時 20 分(B)13 小時 40 分(C)10 小時 20分(D)以上皆非。
59. 學生 50 人參加考試,英文及格的有 28 人,數學及格的有 30 人,兩科皆不及格的人數有 5 人,問英文及格但數學不及格的有幾人?(A)14(B)16(C)15(D)20。
60. 一正立方體,體積 125 立方公分,問表面積為多少? (A)360(B)150(C)240(D)300。
61. 0.04% ÷ = (A)0.05(B)0.5(C)0.005(D)5 。0.5
62. 2/37 = 1/37 + 1/38 + 1/A,其中 A = (A)1016(B)1021(C)1406(D)1031。
63. 4a = 3b = 5c = 6d,則 a:b:c:d = (A)15:20:12:10(B)4:3:5:6(C)1/4 : 1/3 : 1/6 : 1/5(D)15 : 20 : 12 : 6。
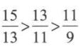
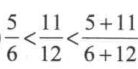
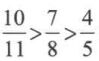
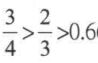
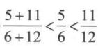
64. 下列何者為非?(A)7/9 > 5/7 > 3/5(B)4/5 > 3/4 > 2/3(C)10/11 > 7/8 > 4/5(D)15/13 > 13/11 > 11/9。
65. 若無萬有引力,則物體會:(A)無質量且無重量(B)無質量但有重量(C)有質量且有重量(D)有質量但無重量。
66. 一杯水中有一塊浮冰,當冰全部融化時,則水面變化為?(A)升高(B)降下(C)不變(D) 不一定。
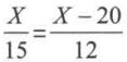
67. , X = ? (A)100(B)80(C)60(D)50。
68.有雞兔12隻,共有40隻腳,則兔有幾隻?(A)4(B)6(C)8(D)10。
69.有一個二位數,一個位數與十位數和為15,將個位數與十位數字互換後,得新數比原數大9,則原數?(A)87(B)78(C)96(D)69。
70.體積125的正方體,表面積為多少?(A)25(B)160(C)150(D)125。
71.如圖,ab=cd,則何者體積較大?(A)A(B)B(C)相同(D)以上皆非。
72.梨子23個,平均分配後剩3個,桃子47個,平均分配後剩2個,問有多少人?(A)4(B)5(C)6(D)7人。
73.下列何者為對? (A)(B)(C) (D)
74.如圖,假設地面光滑,A將如何?(A)向左(B)向右(C)不動(D)以上皆非。
75.有一打生雞蛋,自高樓向下落,問未破雞蛋與已破雞蛋之比,不可能為:(A)1:11(B)1: 5(C)7:5(D)8:7。
76.P,Q為正整數,P3xQ3=5000,則PxQ=?(A)10(B)35(C)20(D)15。
77.如圖,噴水器如何轉動?(A)A(B)B(C)皆可(D)皆非。
78.如圖,哪一個輪軸能舉起較重的東西?(A)A(B)B(C)相同(D)皆非。
79.如圖,哪一個孔噴出來的水最遠?(A)A(B)B(C)C(D)一樣遠。
80.如圖,靜止的車中擺一具單擺,當車子向右邊加速前進,車內單擺會擺至何位置?(A)A(B)B(C)C(D)無法確定
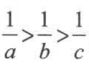
81.若 ,則: (A)a>b>c(B)a>c>b(C)b>a>c(D)c>b>a 。
82. 下列 X 值,何者可使 36X² + 36X + 36 為一整數? (A)(B)(C)(D)。
83. = ? (A) 21 (B) 21(C) 21(D) 22 。
84. 下列何者為非? (A) (B) (C)(D)。
85. 下列何者正確? (A)(B)(C)(D)。
86. 如圖,欲打開時,手拉哪一點最容易打開?(A) A (B) B (C) C (D) 一樣。
87. 一直角三角形,其二股比為 2 : 3,面積為 75,請問其斜邊長? (A) (B)(C) (D) 65 。
88. r x s = 4,(r - s)² = 2,則 r² + s² = ? (A) 12 (B) 10 (C) 8 (D) 14 。
89. 如圖,投籃時,請問哪一點速度最小?(A) A (B) B (C) C (D) D 。
90. 一數的 6% 之 7% 為 42,求此數 (A) 10 (B) 100 (C) 1000 (D) 10000 。
91. 2ˣ = 32,Y² = 121,2ᶻ = 256,則 X + Y + Z = ? (A) 23 (B) 24 (C) 25 (D) 26 。
92. 甲、乙原各有 m 元,甲給乙m 元,則甲、乙相差多少? (A)m 元 (B)m 元 (C)m 元 (D) m 元。
93. 何者省力? (A)(B)。
94. 攝氏與華氏何者相等? (A) -30 (B) -40 (C) -50 (D) -60 。
95. 如圖,A 與 B 兩橋墩何者負載重?(A) A (B) B (C) 一樣。
96. 那個輪子受力較大?(A) A (B) B (C) 一樣高 (D) 不確定。
97. 下圖 a、b、c、d 四個輪軸,以皮帶相連,則 a 轉動方向和 d (A) 相反 (B) 相同 (C) 不一定。
98. 如右圖,何者水位最高?(A) A (B) B (C) C (D) 一樣高 (E) 不一定。
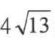
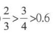
99. 如圖,一個置物的架子,則支木應放於那一個位置,可以使架子支援較大的重量?(A) A (B) B (C) C (D) 皆相同。