所屬科目:農會◆程式設計
13.請問下面程式中,printf(“\n")共執行幾次?(A)3 (B)4 (C)9 (D)12
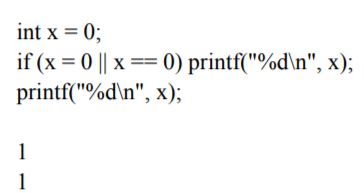
1.請問這段正常的 C 語言程式碼會輸出什麼結果?
2.在 32 位元的電腦下執行,下面指令試問下面的答案為何?
sizeof(a) 是多少 ? sizeof(b) 是多少 ? sizeof(c) 是多少 ? sizeof(d) 是多少 ?
3.以下程式請寫出執行結果: 跑出來,x,y 值不會因為帶入函數而變化(我認為是要考這觀念)
x=5,y=10,z=25
4.以下程式請寫出執行結果:
1.試利用虛擬碼撰寫出氣泡排序法(Bubble Sort)