所屬科目:機械原理(機械概論、大意)
9.有一雙線螺旋,螺距為2mm,節圓直徑為20mm,導程角為θ,則tanθ=? (A) (B) (C) (D)
10.如圖所示,螺絲的旋向相反,若機械效率為50%,則其機械利益為 (A)157 (B)31.4 (C)15.7 (D)7.85。
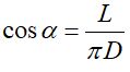
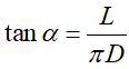
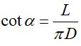
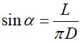
13.螺桿直徑為D,螺旋之導程角為α,導程為L,則下列關係何者正確? (A) (B) (C) (D)
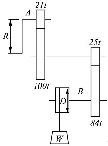
23.如圖所示之起重輪系,手柄半徑R = 160mm,捲筒直徑D = 160mm,W = 960N,不計摩擦損失,則施力F應為 (A)10 N (B)20 N (C)30 N (D)50 N。
39.三線螺紋之導程為L,節距為P,則 (A)P = 3L (B)P = 2L (C)P = L (D)
41.如圖所示,若W=100kg,則F須出力若干才可拉動 (A)75kg (B)50kg (C)30kg (D)10kg。
48.斜面之傾斜角為45°,則機械利益為 (A)2 (B) (C)1 (D)
49.統一標準螺紋 -20UNC-3A-LH,以下何者錯誤? (A)三線螺紋 (B)外螺紋 (C)每吋20牙 (D)左螺紋。
50.雙螺旋導程為螺距之 (A)倍 (B)1倍 (C)2倍 (D)4倍。