所屬科目:泉勝◆基本電學(上冊)
1.電容器符號(A)(B)(C)(D)
2.電容量單位(A)伏特(B)安培(C)歐姆(D)法拉
3.電容量單位符號(A)V(B)A(C)Ω(D)F
4.電容量的定義是(A)V/R(B)Q/V(C)QV(D)V/Q
5.有一電容器,當加上10 伏特電壓時,產生5C(庫侖)電荷,試求該電容器 的電容量C 為何?(A)0.5F(B)50F(C)2F(D)0.2F
6.有一電容器,加上10V 電壓,產生2C(庫侖)電荷,當外加電壓加倍時,儲 存電荷是多少?(A)1C(B)2C(C)4C(D)10C
7.有一電容器,在電容量不變下,若要提高電量(符號是Q)為兩倍,則外加 電壓應該如何?(A)減半(B)2倍(C)4倍(D)10倍
8.空氣(或真空)的介電係數(或常數)=F/m(法拉/ 公尺),有一平行板電容器,其兩極板間距離為1mm,極板面積1000m2,試求介質為空氣時之電容量為多少?(A)8.85F(B)8.85uF(C)8.85mF(D)88.5uF
9.空氣(或真空)的介電係數(或常數)=F/m(法拉/ 公尺),有一 平行板電容器,其兩極板間距離為0.1mm,極板面積10m2,試求介質為電木時之 電容量為多少μF ?(電木的ɛr=7)(A)310uF(B)620F(C)620mF(D)620uF
10.有一平行板電容器,介質為空氣時,其電容量為12μF,當極板距離加倍,則 電容量為(A)6μF(B)24μF(C)12μF(D)36μF
11.有一平行板電容器,介質為空氣時,其電容量為12μF,當極板面積加倍,則電容量為(A)6μF(B)24μF(C)12μF(D)36μF
12.有一平行板電容器,介質為空氣時,其電容量為12μF,當介質改為雲母, 雲母的ɛr=5,則電容量為(A)6μF(B)24μF(C)12μF(D)60μF
13.若將平板電容器極板面積減少為原來的一半,並將極板間的距離改變為原來的2倍,且介電係數不變,則改變後的電容器之電容值為原來的幾倍?(統測) (A) 4 倍 (B) 2 倍 (C) 0.5 倍 (D) 0.25 倍
14.有一平行板電容器,於介質不變情況下,若極板間距離減半,要使電容量增 加為8 倍,則極板面積須變為原來的多少倍?統測107(A)2 (B)4 (C)8 (D)16
15.介質強度的單位是(A)V/m(B)Q/m(C)F/m(D)V/A
16.有一介質的厚度為2mm,其耐壓為100KV,則該介質的介質強度為何?統測109 (A)5kV/m (B)50kV/m (C)5MV/m (D)50MV/m
17.兩電極板相距3mm,其間的介質為空氣,介質強度為30kV/cm,則兩電極板 間不會導致絕緣破壞的最高電壓不得超過多少kV ?統測107(A) 12 (B) 11 (C)10 (D) 9
18.電能的符號(A)I(B)W(C)Q(D)C
19.電能的單位(A)安培(B)伏特(C)焦耳(D)歐姆
20.電能的單位符號(A)Ω(B)V(C)J(D)A
21.電能的定義(A)QV(B)QV/2(C)Q/V(D)V/Q
22.有一電容器接於電位差 V,得到 Q 的電量,所儲存電能是(A)QV(B)QV/2 (C)Q/V(D)V/Q
23.有一電容器,電容量是 3F,接於電位差 2V,所儲存電能是(A)12J(B)3J(C)1.5J(D)6J
24.一電容器,接於電位差 2V,得到電量是 3C,所儲存電能是(A)12J(B)3J(C)1.5J(D)6J
25.有一電容器,電容量是 2F,接於某一直流電壓,獲得 4C 電量,所儲存電能是(A)12J(B)3J(C)4J(D)6J
26.有一電容器接於一直流電壓,其儲存的電荷量為3000μC,能量為150mJ,則此電容器的電容值為多少?統測106(A)10μF (B) 30μF (C) 40μF (D)60μF
27.有一10μF 電容,原已經充電到10V,現在繼續充電,充電到20V,求儲存能 量增加多少?(A)1J(B)2mJ(C)1.5mJ(D)15mJ
28.有一個1000μF 的電容器,若以10mA 連續充電5 秒。求充電量Q ?(A)50mC(B)5C(C)5mC(D)10mC
29.有一個1000μF 的電容器,若以10mA 連續充電5 秒。求充電後的端電壓? (A)5V(B)50V(C)10V(D)30V
30.有一個1000μF 的電容器,若以10mA 連續充電5 秒。求儲存能量?(A)1.25mJ(B)1J(C)2J(D)1.25J
31.有一個1000μF 的電容器,若以10mA 連續充電5 秒。求此能量可以讓20W 的燈泡亮多久?(A)2s(B)8s(C)10s(D)16s
32.電容器的 3p3 代表容量為(A)3.3pF(B)3.3mF(C)三隻腳的電容器(D)3.3C
33.電容器的203 表示容量為(A)203uF(B)20mF(C)0.02μF(D)0.02mF
34.電容器的 102 表示容量為(A)1nF(B)1uF(C)1pF(D)1mF
35.電容器的 105 表示容量為(A)1nF(B)1uF(C)1pF(D)1mF
36.電容器的顏色「黃、紫、橙、銀」,代表(A)47nF(B)47pF(C)47uF(D)470nF
37.電容器的顏色分別是「紅、紅、黑、黑、金」,代表(A)220uF(B)220pF (C)22pF(D)220nF
38.某生在實驗課時用LCR 表量測一標示為203K 之待測陶瓷電容,該生所量測 的電容值可能為何?統測111(A) 20.8 nF (B) 20.8μF (C) 203 nF (D) 203μF
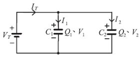
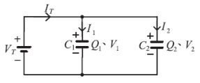
39.若VT = 15V,C1 = 3μF,C2 = 6μF。求等效電容量?(A)2uF(B)2uC(C)1uF(D)1uC
40.若VT = 15V,C1 = 3μF,C2 = 6μF。求Q1?(A)30uF(B)3uC(C)30uC(D)10uF
41.若VT = 15V,C1 = 3μF,C2 = 6μF。求總等效電量?(A)30uF(B)10uC(C)30uC(D)30uA
42.若VT = 15V,C1 = 3μF,C2 = 6μF。求V1 ?(A)3V(B)6V(C)9V(D)10V
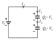
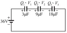
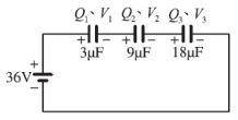
43.電容串聯如圖,求等效電容量?(A)2uF(B)3uF(C)6uF(D)30uF
44.電容串聯如圖,求Q1?(A)1uC(B)36uC(C)72uC(D)72uF
45.電容串聯如圖,求Q2?(A)1uC(B)36uC(C)72uC(D)72uF
46.電容串聯如圖,求總帶電量?(A)1uC(B)36uC(C)72uC(D)72uF
47.電容串聯如圖,求V1?(A)4V(B)8V(C)24V(D)36V
48.電容串聯如圖,求V2?(A)4V(B)8V(C)24V(D)36V
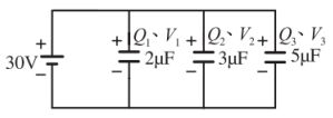
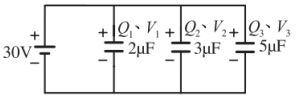
49.如圖之電容器並聯電路,若VT = 10V,C1 = 2μF,C2 = 3μF。求:所有電容器端電壓?(A)2V(B)6V(C)9V(D)10V
50.如圖之電容器並聯電路,若VT = 10V,C1 = 2μF,C2 = 3μF。求Q1?(A)20uC (B)30uC(C)50uC(D)60uC
51.如圖之電容器並聯電路,若VT = 10V,C1 = 2μF,C2 = 3μF。求總等效電量? (A)20uC(B)30uC(C)50uC(D)60uC
52.如圖之電容器並聯電路,若VT = 10V,C1 = 2μF,C2 = 3μF。求總等效電容量? (A)1uF(B)2uF(C)3uF(D)5uF
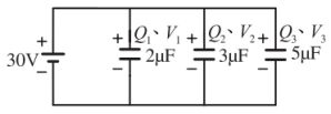
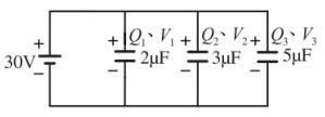
53.電路如圖,求Q1電容端電壓?(A)4V(B)8V(C)24V(D)30V
54.電路如圖,求Q1=?(A)300uC(B)150uC(C)90uC(D)60uC
55.電路如圖,求Q2=?(A)300uC(B)150uC(C)90uC(D)60uC
56.電路如圖,求Q3=?(A)300uC(B)150uC(C)90uC(D)60uC
57.電路如圖,求三個電容總帶電量=?(A)300uC(B)150uC(C)90uC(D)60uC
58.電路如圖,求所有電容等效總電容量?(A)1uF(B)2uF(C)3uF(D)10uF
59.電路如圖,每一個電容 C 都是 3μF,求 Cab=?(A)1uF(B)1.3uF(C)2uF(D)3uF
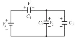
60.如圖所示電路,若直流電壓源 VS = 120V,C1 = 10μF、C2 = 20μF、 C3 = 30μF,則電壓 V1 與 V2 分別為何?(統測 112) (A) V1 = 20V、V2 = 100V (B) V1 = 60V、V2 = 60V (C) V1 = 80V、V2 = 40V (D) V1 = 100V、V2 = 20V
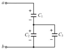
61.如圖所示,若 a、b 兩端的總電容值為 40 μF,則下列敘述何者正確?(統測 110) (A) C1 = 100μF、C2 = 10μF、C3 = 10μF (B) C1 = 80μF、C2 = 20μF、C3 = 20μF (C) C1 = 20μF、C2 = 10μF、C3 = 10μF (D) C1 = 120μF、C2 = 30μF、C3 = 30μF
62.如圖所示,電容器 C1 = 9μF、C2 = 18μF,電阻,直流電源 E = 24V,當電路 已達穩定狀態,則下列敘述何者正確?(統測 105)(A) 電容器 C1 的電壓為 12V (B) 電容器 C2 的電壓為 16V (C) 儲存於電容器 C1 的電量為 144μC (D) 儲存於電容器 C2 的電量為 216μC
63.電容器 X 的電容值為 60μF,耐壓 250V。若電容器 X 和另一電容器 Y 串 聯後,其總電容值為 20μF,總耐壓為 300V,則電容器 Y 的電容值和耐壓分別 為何?(統測 104) (A) (60μF,150V) (B) (60μF,200V) (C) (30μF,150V) (D) (30μF,200V)
64.四個相同的電容器串聯,若每個電容量為 20μF,則串聯的總電容量為何? (統測 103)(A) 5μF (B) 10μF (C) 20μF (D) 80μF
65.如圖所示之串並聯電路,其三個電容規格分別為 30μF/100V、60μF/200V 及30μF/300V,則電路中 E 可加之最大電壓為何?(統測 102) (A)100V (B)150V (C)200V (D)300V
66.有一 10Ω 電阻串聯一個 100μF 電容後接上 100V 直流電壓,求電路穩態 時,電容儲存的電量與能量分別為何?(統測 102) (A)0.01C,0.5J (B) 0.01C,1J (C) 0.1C,0.5J (D) 0.1C,1J