阿摩線上測驗
登入
首頁
>
輸送現象與單元操作
> 96年 - 96 高等考試_三級_化學工程:輸送現象與單元操作#37996
96年 - 96 高等考試_三級_化學工程:輸送現象與單元操作#37996
科目:
輸送現象與單元操作 |
年份:
96年 |
選擇題數:
0 |
申論題數:
7
試卷資訊
所屬科目:
輸送現象與單元操作
選擇題 (0)
申論題 (7)
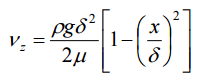
【已刪除】⑴請推導出液體之流速分佈為
其中 z 為流動方向,x 為垂直於壁面之方向,x=0 為流體表面處,δ 為液體層厚度 ,ρ 為流體密度,µ 為流體黏度,g 為重力加速度。(10 分)
⑵請推導出液體之平均流速。(10 分)
⑶若此液體之密度為 998 kg/m
3
,黏度為 1.05 cp,且沿單位寬度垂直壁流下之質量 流率為 0.124 kg/s-m,請問液體層厚度(δ )為多少?(10 分)流體施加於單位壁 面積之作用力為多少?(10 分)
⑴此金屬圓球之內部熱傳阻力忽略是否合理?如何驗證?(10 分)
⑵此金屬圓球之平均溫度從 360 K 降至 340 K 所需之時間?釋放之總熱量?(20 分)
【已刪除】⑴請說明上式中等號右邊的第一項
與第二項 [x
A
(N
A
+N
B
)] 之意義分 別為何?(10 分)
⑵假設在稀薄狀態(x
A
<< 1)及穩態(steady state)下,請證明 k=D
AB
/δ,其中質 傳係數 k 之定義為 N
A
=k(C
A0
– C
Aδ
),δ 為邊界層厚度,C
A0
與 C
Aδ
分別為成分 A 在 z=0 與 z=δ 之邊界濃度。(20 分)