所屬科目:國營事業◆1.化工熱力學 2.化學反應工程學
2.1莫耳理想進行等溫可逆膨脹,△則U(內能)及△H(焓)下列何者正確? (A)△U<O,△H<O(B) △U-0,△H>O (C)△U=0,△H=O (D) △U>0,△H=0
9.卡諾循環實驗用熱機,在室溫30℃與加熱溫度300℃之間運轉,該熱機之最大效率為: (A) 10 % (B) 52%(C) 47% (D) 60%
10.阿瑞尼亞士方程式(Arheniusequation)為,式中之k0值與下列哪一項具有直接關係?(Ea:活化能,R:氣體常數,T:溫度) (A)反應時間 (B)反應物的碰撞頻率及方向 (C)反應物之濃度 (D)活化能
14.公式dE=δQ-δW說明如果系統對外做功,它的能量一定減少,是指熱力學 (A)第零定律 (B)第一定律 (C)第二定律 (D)第三定律
15.在科羅拉多州的丹佛市,那裡比海平面高1哩。某一天氣壓計測出大氣壓力為600tor,請問 當地那一天水的沸點大約是多少℃? (A) 94(B)100 (C) 112 (D) 80
17.某一氣體換熱器,氣體進口溫度為1,373°K,經定壓放熱後,出口溫度為413°K,請問氣體進口體積出口體積的倍? (A) 0.30(B)3.32 (C) 7.85 (D) 4.32
22.A→R之反應常數單位為(),反應物初濃度[A]=5.0當濃度剩下2.5時共耗時3秒鐘,請問反應常數值為何? (A) 0.231 (B) 0.067 (C) 0.382 (D) 0.618
30.有些工業化製程,在反應物中加入惰性物質以改變平衡條伴。若氣相反應式如下: ,T為n倍稀釋惰性物質,反應溫度壓力不變,下列敘述何者正確? (A)轉化率增加 (B)A成分分壓增加(C)B成分分壓增加(D)反應速率增加
33.假設有一化學反應速率式其速率常數k單位為(),請問此反應為幾級? (A)3.8級 (B)4.5级 (C)5.5級 (D)5.8級
34.續上題,為最初反應物濃度,此反應之半生期(halflifeeriod) (A) 0.693/ k(B) (C) (D)
35.反應速率常數依照 Arrheniusequation:(Ea活化能,R氣體常數,T溫度) 要增加速率常數,下述何者正確? (A)增加活化能 (B)增加溫度 (C)增加反應物濃度(D)將反應器增大
36.柱狀反應器(PFR)若將產物回流再進料,變成回流反應器(recyclereactor),定義回流比 R= ( volume returned) / (volume leaving)則下述何者錯誤: (A)可以減小反應器尺寸大小 (B) R→∞,近似 CSTR (C)可使柱狀填充塔近似CSTR (D)R→0,近似PFR
40.針對二级反應而言,其反惠速率常數之單位為: (A)(B) (C)(D)
41.水在100℃的汽化熱為540cal/g,冰在0℃的化熱為79.7calg,請問水汽化時的熵變化, 大的是冰熔化時熵變化的多少倍? (A) 0.2 (B) 5.0 (C) 6.8 (D) 10.0
42.0℃時氯仿(CHC3)的蒸氣壓為61 torr,50℃為526torr,那麼氯仿的莫耳化熱(cal/g mol )是多少? (A) 3,800 (B) 5,550 (C) 7,550 (D) 8,800
43.一塊5磅重、溫度400°F的石頭被投入一個盛有9磅重、溫度40°F的水容器内,假設石頭的比熱為0.2BTU/°F,在沒有蒸發及吸收熱損失下,請問水最終溫度為多少°F? (A) 76 (B) 68 (C) 60 (D) 56
45.汽車司機開車前檢查胎壓為31psia(@72°F),開幾小時後檢查胎壓為37psia,請問輪胎裡的空氣溫度是多少g? (A) 150 (B) 175 (C) 86 (D) 100
46.一個裝滿了1大氣壓和 300°K的氫氣球,氣球體積為246,210cm3,请問氣球裡氣質量是多少g? (A) 10 (B) 5 (C) 20 (D) 30
52.在一個批次反應器(batchreactor)中,A→R為液相一次反應,反應物A在1分鐘內濃度由 3.0molL下降到1.0mol/L,請問反應常數之值為何? (A) (B) 0.115 (C) (D)0.693
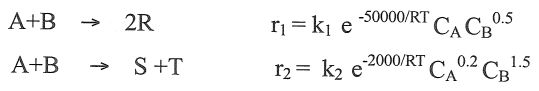
53.下列反應同時發生 若欲獲得最大R產量,如何控制反應條伴? (A)降低A濃度 (B)增加B濃度 (C)升高反應溫度(D)升高反應壓力
55.氣固反應之核漸缩模型(theshrinkingcoremodel,SCM)何者為非反應速率之控制阻力 (resistances)?若反應式為 (A)A之氣體薄膜擴散 (B)A之灰層(ash1ayer)擴散 (C)反應物B核心反應速率 (D)產物R之氣體薄膜擴散
58.有一CSTR其反應性方程式為進口濃度今於出口處增加串連(in series)一座相同大小反應器,更新後值: (A) 0.8 (B) 0.18 (C) 0.16 (D) 0.4
59.請參考下列反應速率與反應物濃度及轉化率關係圖,請問如何安排兩级反應器串連配置可以獲得最小反應器體積設計:(A)先CSTR 再接PFR(B)兩個PFR串連 (C)兩個CSTR串連(D)先PFR再接CSTR
60.下圖為酵素發酵反應實驗结果資料,下列何者為不正確之判讀? (A)反應速率均與產物濃度成反比 (B)在CA濃度低時,反應速率為CA一級反應 (C)所有反應過程反應速率均與酵素濃度成正比 (D)在CA濃度高時,反應速率與CA不相關