阿摩線上測驗
登入
首頁
>
工業安全管理(含應用統計)
> 100年 - 100年升官等、關務人員升官等考薦任_工業安全#32798
100年 - 100年升官等、關務人員升官等考薦任_工業安全#32798
科目:
工業安全管理(含應用統計) |
年份:
100年 |
選擇題數:
0 |
申論題數:
4
試卷資訊
所屬科目:
工業安全管理(含應用統計)
選擇題 (0)
申論題 (4)
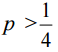
【已刪除】一、某君聲稱他只要用手摸撲克牌,就能猜出花色。為要測試他到底有沒有吹牛,我們 從一副撲克牌用有退還方式抽取 8 張給他摸,要他說出花色,看他說對幾次。假設 這題的參數 p 是他說對撲克牌的花色的機率。若他沒此特異能力,則
,他真 的有,則
。假定我們認為,在 9 次試驗中若他猜對 6 次或以上,我們就拒絕 H
0
,即認為他有此特異功能。請問此檢定過程犯第一型錯誤之機率顯著水準 (significance level)α 值是多少?(25 分)
二、請問勞工安全衛生工作守則之內容應參酌那些事項定之?(10 分)又,請問雇主應 依其事業規模、特性,訂定勞工安全衛生管理計畫,執行那些事項?(15 分)
三、請問安全的定義為何?(5 分)5S 的內容為何?(5 分)安全與 5S 的關係為何?(5 分) 實務上如何推行5S 以提升安全的水平?(10 分)
四、請說明危害通識計畫的內容及具體做法?(25 分)
相關試卷
114年 - 114 專技高考_工業安全技師:工業安全管理(包括應用統計)#133689
114年 · #133689
114年 - 114 公務升官等考試_薦任_職業安全衛生:工業安全管理(包括應用統計)#133152
114年 · #133152
113年 - 113 專技高考_工業安全技師:工業安全管理(包括應用統計)#123866
113年 · #123866
113年 - 113 專技高考_工業安全技師:工業安全工程#123851
113年 · #123851
112年 - 112 專技高考_工業安全技師:工業安全管理(包括應用統計)#117643
112年 · #117643
112年 - 112 公務升官等考試_薦任_職業安全衛生:工業安全管理(包括應用統計)#117249
112年 · #117249
112年 - 112 高等考試_二級_職業安全衛生:工業安全管理實務#116707
112年 · #116707
111年 - 111 地方政府特種考試_三等_職業安全衛生:工業安全管理(包括應用統計)#112422
111年 · #112422
111年 - 111 地方政府特種考試_四等_職業安全衛生:工業安全管理概要(包括應用統計)#112244
111年 · #112244
111年 - 111 專技高考_工業安全技師:工業安全管理(包括應用統計)#111905
111年 · #111905